Physics Calculations A-Level

Physics Calculations A-Level

chum
Jul 18, 2021
  • Everyone

  • 4.3

    Android OS

À propos de Physics Calculations A-Level

Calculs de physique est conçu pour les étudiants pour l'examen de physique A-Level.

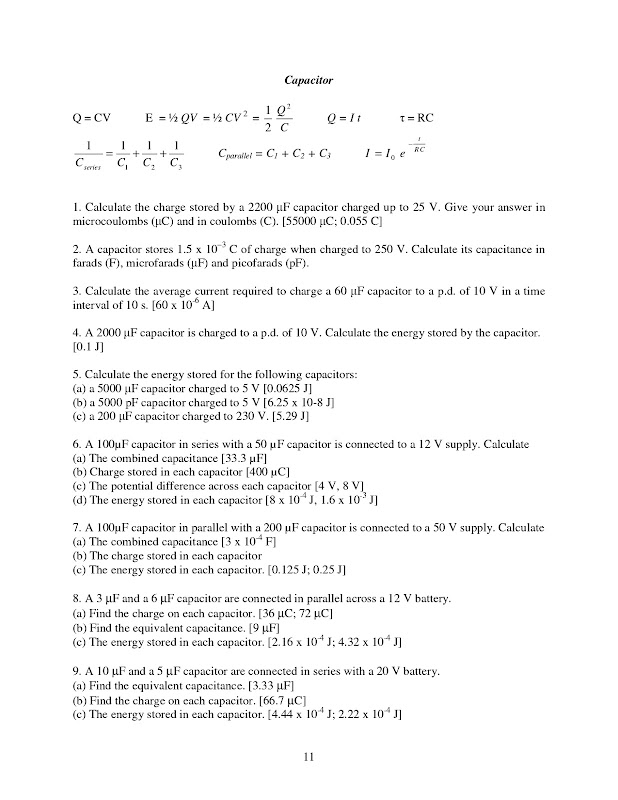
Physics Calculations is specially designed for students who wish to score an excellent grade in their A-Level Physics examination. It contains many challenging questions that provide excellent revision material. These questions help to reinforce students’ understanding of concepts and their ability to apply them.
Voir plus

What's new in the latest 1.0

Last updated on Jul 18, 2021
Minor bug fixes and improvements. Install or update to the newest version to check it out!
Voir plus

Vidéos et captures d'écran

  • Physics Calculations A-Level Affiche
  • Physics Calculations A-Level capture d'écran 1
  • Physics Calculations A-Level capture d'écran 2
  • Physics Calculations A-Level capture d'écran 3
  • Physics Calculations A-Level capture d'écran 4
  • Physics Calculations A-Level capture d'écran 5
  • Physics Calculations A-Level capture d'écran 6
  • Physics Calculations A-Level capture d'écran 7
APKPure icône

Téléchargement super rapide et sûr via l'application APKPure

Un clic pour installer les fichiers XAPK/APK sur Android!

Téléchargement APKPure
thank icon
We use cookies and other technologies on this website to enhance your user experience.
By clicking any link on this page you are giving your consent to our Privacy Policy and Cookies Policy.
Learn More about Policies