Physics Calculations A-Level

Physics Calculations A-Level

chum
18/07/2021
  • Everyone

  • 4.3

    Android OS

Oписание Physics Calculations A-Level

Physics Calculations предназначен для студентов, сдающих экзамен по физике A-Level.

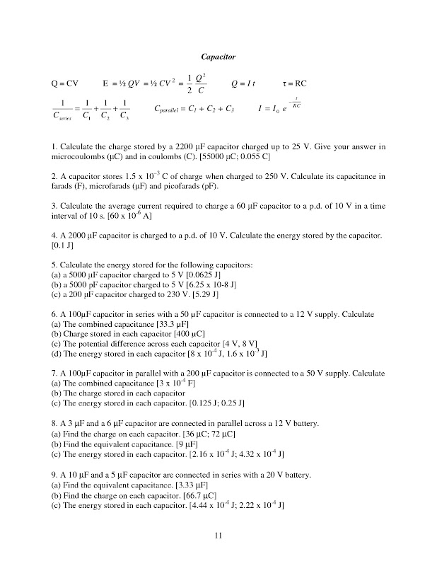
Physics Calculations is specially designed for students who wish to score an excellent grade in their A-Level Physics examination. It contains many challenging questions that provide excellent revision material. These questions help to reinforce students’ understanding of concepts and their ability to apply them.
Ещё

Что нового в последней версии 1.0

Last updated on 18/07/2021
Minor bug fixes and improvements. Install or update to the newest version to check it out!
Ещё

Видео и Скриншоты

  • Physics Calculations A-Level постер
  • Physics Calculations A-Level скриншот 1
  • Physics Calculations A-Level скриншот 2
  • Physics Calculations A-Level скриншот 3
  • Physics Calculations A-Level скриншот 4
  • Physics Calculations A-Level скриншот 5
  • Physics Calculations A-Level скриншот 6
  • Physics Calculations A-Level скриншот 7

Информация Physics Calculations A-Level APK

Последняя Версия
1.0
Категория
Образование
Android OS
4.3+
Разработчик
chum
Возрастные ограничения
Everyone
Безопасная и Быстрая Загрузка APK на APKPure
APKPure позволяет легко и безопасно загружать Physics Calculations A-Level APK с проверкой подписи.
APKPure иконка

Супер Быстрая и Безопасная Загрузка через Приложение APKPure

Один клик для установки XAPK/APK файлов на Android!

Скачать APKPure
thank icon
We use cookies and other technologies on this website to enhance your user experience.
By clicking any link on this page you are giving your consent to our Privacy Policy and Cookies Policy.
Learn More about Policies