Physics Calculations A-Level

Physics Calculations A-Level

chum
Jul 18, 2021
  • Everyone

  • 4.3

    Android OS

Giới thiệu về Physics Calculations A-Level

Phép tính Vật lý được thiết kế cho học sinh ôn thi Vật lý A-Level.

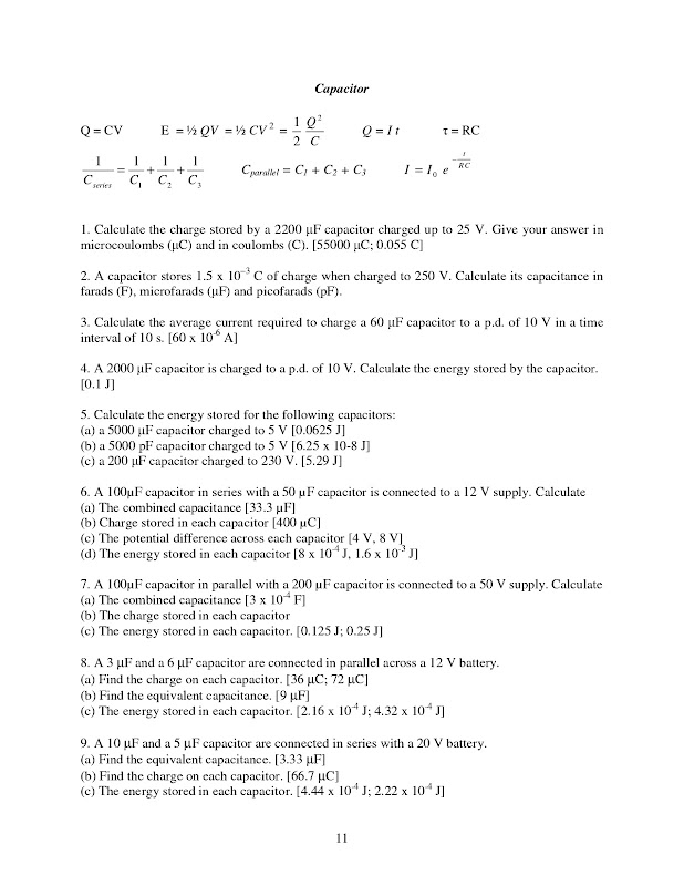
Physics Calculations is specially designed for students who wish to score an excellent grade in their A-Level Physics examination. It contains many challenging questions that provide excellent revision material. These questions help to reinforce students’ understanding of concepts and their ability to apply them.
Hiển thị nhiều hơn

What's new in the latest 1.0

Last updated on Jul 18, 2021
Minor bug fixes and improvements. Install or update to the newest version to check it out!
Hiển thị nhiều hơn

Video và ảnh chụp màn hình

  • Physics Calculations A-Level bài đăng
  • Physics Calculations A-Level ảnh chụp màn hình 1
  • Physics Calculations A-Level ảnh chụp màn hình 2
  • Physics Calculations A-Level ảnh chụp màn hình 3
  • Physics Calculations A-Level ảnh chụp màn hình 4
  • Physics Calculations A-Level ảnh chụp màn hình 5
  • Physics Calculations A-Level ảnh chụp màn hình 6
  • Physics Calculations A-Level ảnh chụp màn hình 7

Thông tin APK Physics Calculations A-Level

Phiên bản mới nhất
1.0
Danh mục
Giáo dục
Android OS
4.3+
Nhà phát triển
chum
Xếp hạng nội dung
Everyone
Tải APK an toàn và nhanh chóng trên APKPure
APKPure sử dụng xác minh chữ ký để đảm bảo tải APK miễn phí virus cho Physics Calculations A-Level.
APKPure biểu tượng

Tải xuống siêu nhanh và an toàn thông qua Ứng dụng APKPure

Một cú nhấp chuột để cài đặt các tệp XAPK/APK trên Android!

Tải về APKPure
thank icon
We use cookies and other technologies on this website to enhance your user experience.
By clicking any link on this page you are giving your consent to our Privacy Policy and Cookies Policy.
Learn More about Policies