Sobre este Algebra Reference
Um fácil de usar guia de referência das equações de álgebra comuns e fórmulas.
Precisa retocar em seu álgebra ou revisão para um teste? Este é o aplicativo para você! Utilize este guia de estudo grande álgebra para ace seu exame seguinte.
** Considere comprar a versão doar para apoiar o desenvolvedor!
Os tópicos abordados:
Propriedades aritméticas
Operações aritméticas Exemplos
Equação quadrática
Propriedades expoente
Propriedades desigualdade
Números Complexos
Propriedades radicais
Propriedades de logaritmos
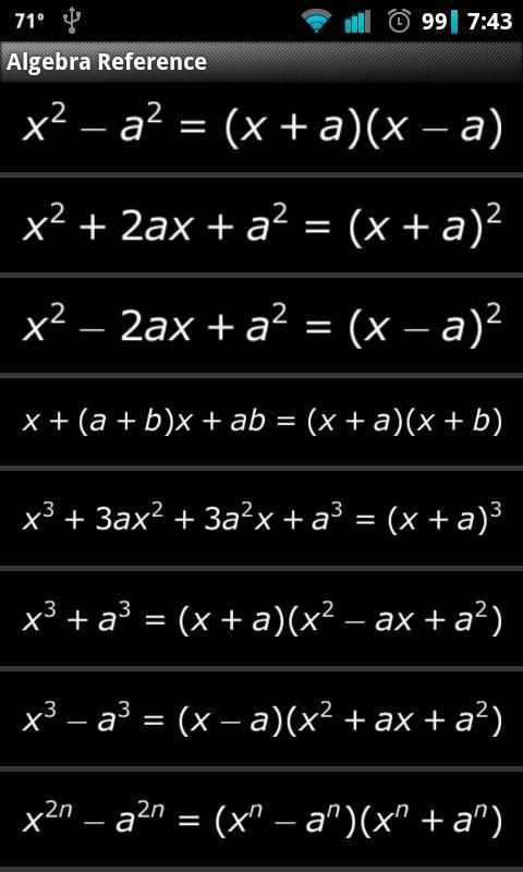
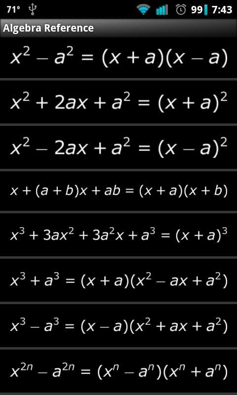
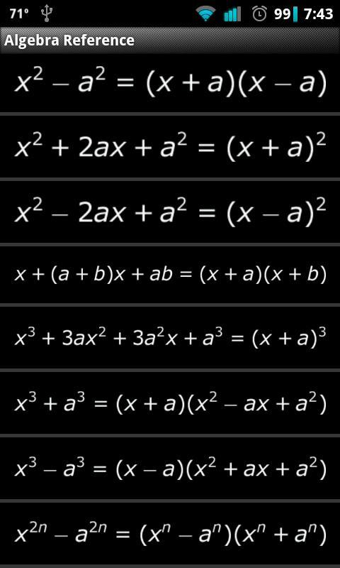
Exemplos comuns de Factoring
Valor Absoluto
Completando o quadrado
Novidades em 528d8a39 mais recente
Last updated on 2019-07-26
Update for Android 9 (Pie)
Informações sobre Algebra Reference APK
Última Versão
528d8a39
Categoria
Livros e referênciasAndroid OS
Android 4.0.3+
Tamanho do arquivo
898.9 KB
Desenvolvedor
Steve KBClassificação do Conteúdo
Everyone
Downloads seguros e rápidos de APK no APKPure
O APKPure usa verificação de assinatura para garantir downloads de APK Algebra Reference sem vírus para você.
Versões Antigas de Algebra Reference
Algebra Reference 528d8a39
898.9 KBJul 26, 2019
Algebra Reference 17647d9
1.7 MBFeb 24, 2016
Algebra Reference 1.3
227.3 KBJul 18, 2015
Baixar de Forma Rápida e Segura via APKPure App
Um clique para instalar arquivos XAPK/APK no Android!


