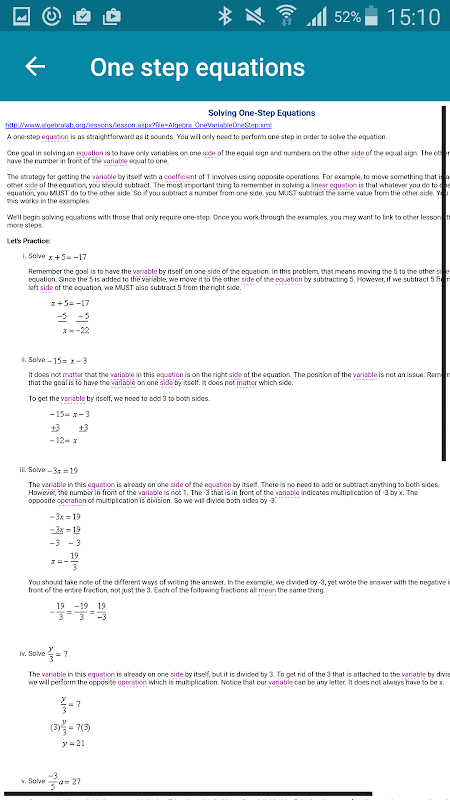
Sobre este D51 ClassLink
District51 é sua nuvem personalizado fornecendo acesso à escola em qualquer dispositivo
D51 ClassLink is your personalized cloud desktop providing access to school from anywhere on any device. D51 ClassLink is ideal for empowering students and staff to maximize academic effort by facilitating access to academic tools using your personal virtual instructional desktop.
With more and different devices showing up in the classrooms today, users expecting 24/7 access, and schools needing to lower costs, a different approach is needed and quick.
D51 ClassLink gives you real time access to your cloud folders, any mapped Active Directory shares and Apps if your school or organization has D51 ClassLink.
Seamlessly access all your files:
Dropbox
Google Drive
SkyDrive
School Network
D51 Cloud Drive
Now with printing support! Print your documents to any Air Print connected printer.
PLEASE NOTE: Your school or organization must have D51 ClassLink WEB EDITION for this app to work.
Novidades em 28.0 mais recente
Versões Antigas de D51 ClassLink
Baixar de Forma Rápida e Segura via APKPure App
Um clique para instalar arquivos XAPK/APK no Android!







