
HC Verma - Concepts of Physics Part 2 Solutions
9.0 MB
Tamanho do arquivo
Everyone
Android 4.0.3+
Android OS
Sobre este HC Verma - Concepts of Physics Part 2 Solutions
Capítulo questão sábio pela solução questão de conceito HC verma da física.
✠ Chapter 23 - Heat and Temperature
✠ Chapter 24 - Kinetic Theory of Gases
✠ Chapter 25 - Calorimetry
✠ Chapter 26 - Laws of Thermodynamics
✠ Chapter 27 - Specific Heat Capacities of Gases
✠ Chapter 28 - Heat Transfer
✠ Chapter 29 - Electric Field and Potential
✠ Chapter 30 - Gauss's Law
✠ Chapter 31 - Capacitors
✠ Chapter 32 - Electric Current in Conductors
✠ Chapter 33 - Thermal and Chemical Effects of Current
✠ Chapter 34 - Magnetic Field
✠ Chapter 35 - Magnetic Field due to a Current
✠ Chapter 36 - Permanent Magnets
✠ Chapter 37 - Magnetic Properties of Matter
✠ Chapter 38 - Electromagnetic Induction
✠ Chapter 39 - Alternating Current
✠ Chapter 40 - Electromagnetic Waves
✠ Chapter 41 - Electric Current through Gases
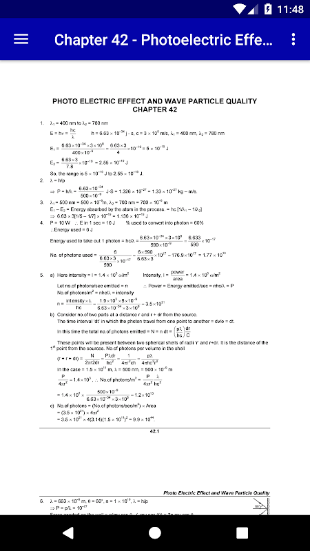
✠ Chapter 42 - Photoelectric Effect and Wave-Particle Duality
✠ Chapter 43 - Bohr's Model and Physics of Atom
✠ Chapter 44 - X-rays
✠ Chapter 45 - Semiconductors and Semiconductor Devices
✠ Chapter 46 - The Nucleus
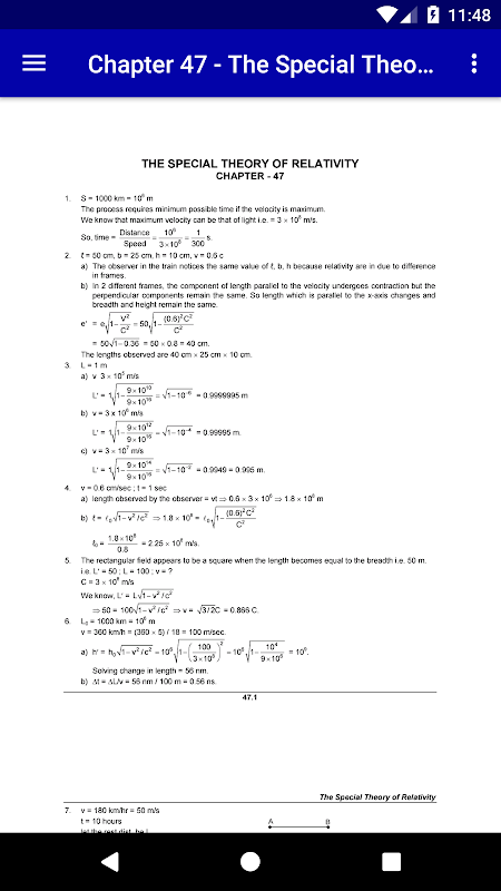
✠ Chapter 47 - The Special Theory of Relativity
Novidades em 1.1 mais recente
Informações sobre HC Verma - Concepts of Physics Part 2 Solutions APK
Versões Antigas de HC Verma - Concepts of Physics Part 2 Solutions
HC Verma - Concepts of Physics Part 2 Solutions 1.1

Baixar de Forma Rápida e Segura via APKPure App
Um clique para instalar arquivos XAPK/APK no Android!