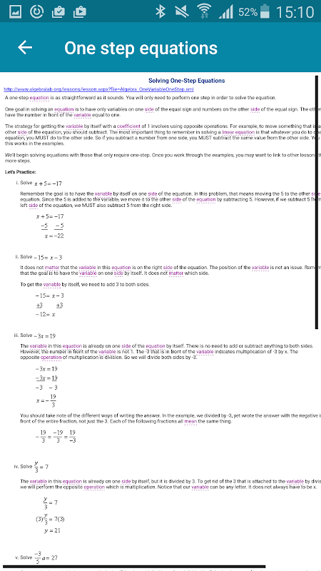
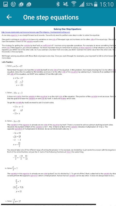
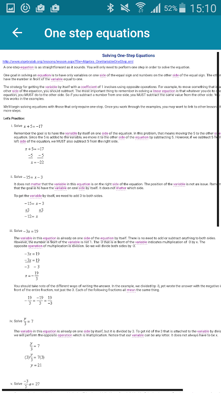
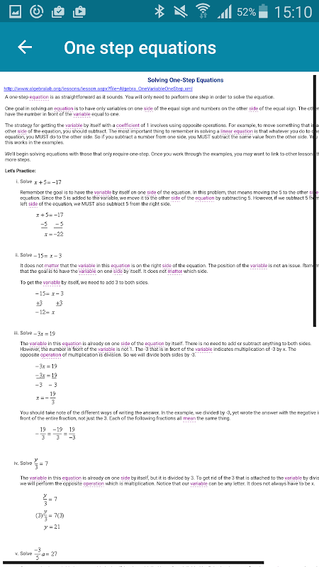
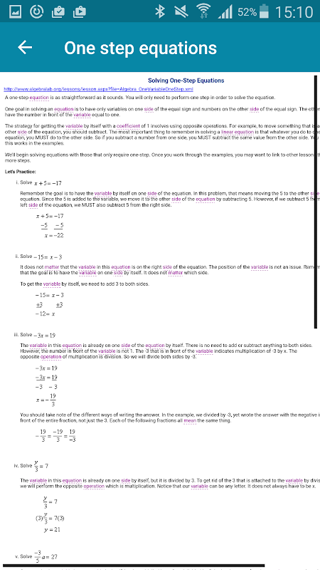
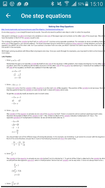
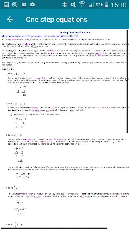
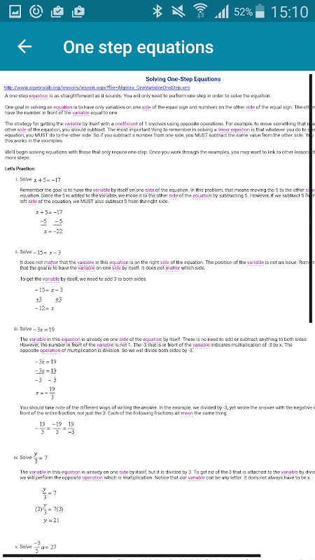
Acerca del AUSD myLocker
myLocker is your personalized cloud providing access to school on any device
AUSD myLocker is your personalized cloud desktop providing access to school from anywhere on any device. AUSD myLocker is ideal for empowering students and staff to maximize academic effort by facilitating access to academic tools using your personal virtual instructional desktop.
With more and different devices showing up in the classrooms today, users expecting 24/7 access, and schools needing to lower costs, a different approach is needed and quick.
AUSD myLocker gives you real time access to your cloud folders, any mapped Active Directory shares and Apps if your school or organization has AUSD myLocker.
Seamlessly access all your files:
Dropbox
Google Drive
SkyDrive
School Network
AUSD myLocker Cloud Drive
Now with printing support! Print your documents to any Air Print connected printer.
PLEASE NOTE: Your school or organization must have AUSD myLocker WEB EDITION for this app to work.
Novedades más recientes 28.0
Información de AUSD myLocker APK
Versiones Antiguas de AUSD myLocker
AUSD myLocker 28.0
Descarga rápida y segura a través de APKPure App
¡Un clic para instalar archivos XAPK/APK en Android!







