À propos de Algebra Formula
Facile à apprendre All Math Math Algèbre Formula. Facile à comprendre et totalement gratuit.
The Maths Algebra Formula app, lists all the important Maths Algebra formulas. Its very useful for student to save valuable time.
Complete Algebra Formulas Math App is one unique and comprehensive app that is particularly designed as a one-stop solution for College Grade/Higher Grade Students.
This is an app designed for Students for quick access to Algebra Formulas. Algebra formulas can be tricky to memorize. So here is a simple way to refer to them and sharpen your algebra skills.
The app lists all the important Algebra Formula. Its very useful for student to save valuable time.
This App contains following formulas :
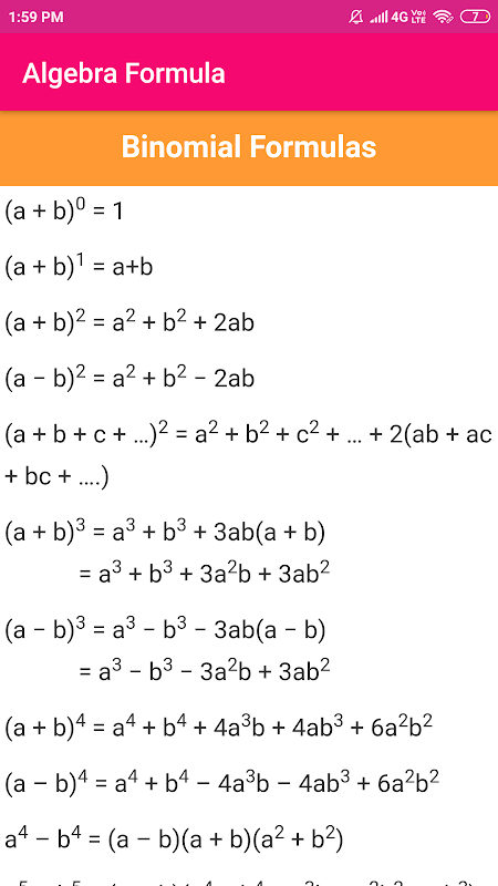
Binomial Formula
Law of Exponent
Quadratic Formula
Factorial Formula
Logarithms Properties
Complex Numbers
Radical Properties
Arithmetic Operations
Arithmetic Progression
Geometric Progression
Harmonic Progression
Arithmetic Properties
Absolute Value
Inequalities Properties
Rules of Zeros
What's new in the latest 1.3
-Bug and crash fixes
-Performance improvement
-Reliability Enhancement
-More user friendly
Informations Algebra Formula APK
Vieilles versions de Algebra Formula
Algebra Formula 1.3
Algebra Formula 1.1
Téléchargement super rapide et sûr via l'application APKPure
Un clic pour installer les fichiers XAPK/APK sur Android!







