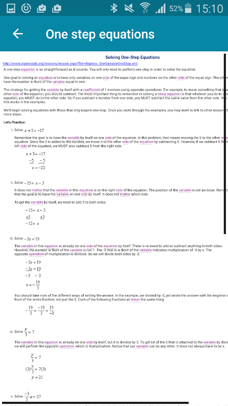
À propos de FCS LaunchPad
FCS LaunchPad est un nuage personnalisé offrant un accès à l'école sur tout appareil
Fulton County Schools (FCS) LaunchPad is your personalized cloud desktop giving access to school from anywhere. Accessible from any device, LaunchPad is ideal for Personalized Learning and BYOD initiatives. LaunchPad’s multiple views include an innovatively simple virtual desktop and an empowering instructional desktop.
With more and different devices showing up in the classrooms today, users expecting 24/7 access, and schools needing to lower costs, a different approach is needed and quick.
LaunchPad gives you real time access to your cloud files and apps if your school has Fulton County Schools LaunchPad.
Seamlessly access all your files:
Fulton County Schools OneDrive
Fulton County Schools Google Drive
Now with printing support! Print your documents to any Air Print connected printer.
PLEASE NOTE: Your school must have Fulton County Schools (FCS) LaunchPad WEB EDITION for this app to work.
What's new in the latest 28.0
Informations FCS LaunchPad APK
Vieilles versions de FCS LaunchPad
FCS LaunchPad 28.0
FCS LaunchPad 27.0
FCS LaunchPad 26.0
FCS LaunchPad 25.0
Téléchargement super rapide et sûr via l'application APKPure
Un clic pour installer les fichiers XAPK/APK sur Android!







