À propos de Calculatrice stochastique
Moyenne, variance, espérance, écart-type - solution mathématique étape par étape
Résolvez des problèmes stochastiques et analysez des données statistiques étape par étape avec cette application de calculatrice intelligente – parfaite pour l’école, les devoirs ou la préparation aux examens.
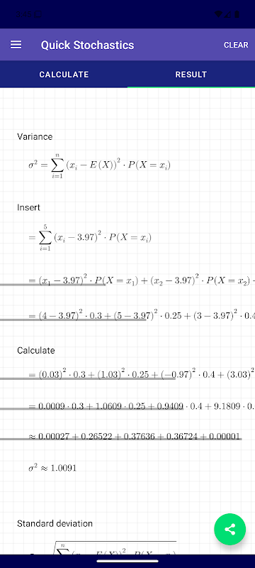
Saisissez des données empiriques ou des valeurs d’événements avec leurs probabilités correspondantes – l’application calcule toutes les statistiques clés telles que la moyenne, la variance, l’espérance et l’écart type. Chaque résultat est affiché en détail, y compris toutes les formules et étapes utilisées. La solution complète peut être partagée.
🔹 Fonctionnalités principales :
- calcule moyenne, variance, espérance et écart type
- prend en charge les données empiriques et les distributions de probabilité
- explications étape par étape de tous les résultats
- partage de la solution statistique complète
👤 Convient pour :
- élèves
- étudiants
- enseignants
- parents
🎯 Parfait pour :
- devoirs de statistiques
- apprendre les probabilités et les valeurs empiriques
- préparer les cours
- vérifier les exercices scolaires
Téléchargez maintenant et comprenez toutes les valeurs clés stochastiques et statistiques étape par étape !
What's new in the latest 1.0.000
Informations Calculatrice stochastique APK

Téléchargement super rapide et sûr via l'application APKPure
Un clic pour installer les fichiers XAPK/APK sur Android!