Tentang cours physique des solides
aplikasi ini akan membantu Anda mempelajari mekanisme padatan
Jika Anda tertarik dengan mekanisme padatan, aplikasi ini akan membantu Anda.
Pastikan Anda akan belajar banyak hal dari aplikasi ini.
Aplikasi gratis ini adalah perpustakaan dinamis yang ditenagai oleh buku dan buku pendidikan terbaik yang berspesialisasi dalam
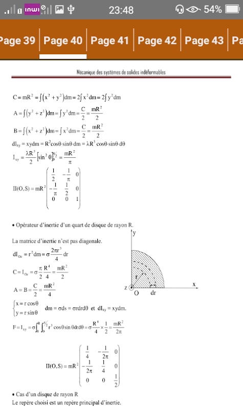
mekanisme benda padat
Anda akan temukan di aplikasi ini
mekanisme benda padat
fisika solid
Definisi yang solid. Derajat kebebasan
Distribusi gigi dalam bentuk padat
Komposisi gerakan
Elemen kinetik yang solid
Pasukan berolahraga di atas solid
Dinamika yang solid
Sudut Euler
Gerakan pra-jabatan
Komposisi gerakan
Bergulir tanpa slip
What's new in the latest 2.1.2
Last updated on Jul 26, 2019
Minor bug fixes and improvements. Install or update to the newest version to check it out!
Informasi APK cours physique des solides
Versi terbaru
2.1.2
Kategori
Buku & ReferensiAndroid OS
Android 3.0+
Ukuran file
19.6 MB
Pengembang
Dev HRating konten
Everyone
Unduh APK dengan Aman dan Cepat di APKPure
APKPure menggunakan verifikasi tanda tangan untuk memastikan unduhan APK cours physique des solides yang bebas dari virus untuk Anda.
Versi lama cours physique des solides
cours physique des solides 2.1.2
19.6 MBJul 26, 2019
Pengunduhan Super cepat dan aman melalui aplikasi APKPure
Sekali klik untuk menginstal file XAPK/APK di Android!




