Формулы. Справочник школьника
12.0 MB
फाइल का आकार
Everyone
Android 4.0+
Android OS
Формулы. Справочник школьника के बारे में
3 क्लिक में बीजगणित, ज्यामिति, भौतिकी या रसायन शास्त्र में सही फार्मूला लगाएं!
सही फार्मूला ढूँढना और सामग्री एक लंबा समय लगता? सार्वभौमिक गाइड के लिए खोज रहे हैं? आवेदन "फॉर्मूला निर्देशिका स्कूल के विद्यार्थी।" - यह आपके लिए क्या देख रहे है!
यह 4 विषयों के लिए एक पूरा गाइड स्कूल पाठ्यक्रम है। शामिल हैं:
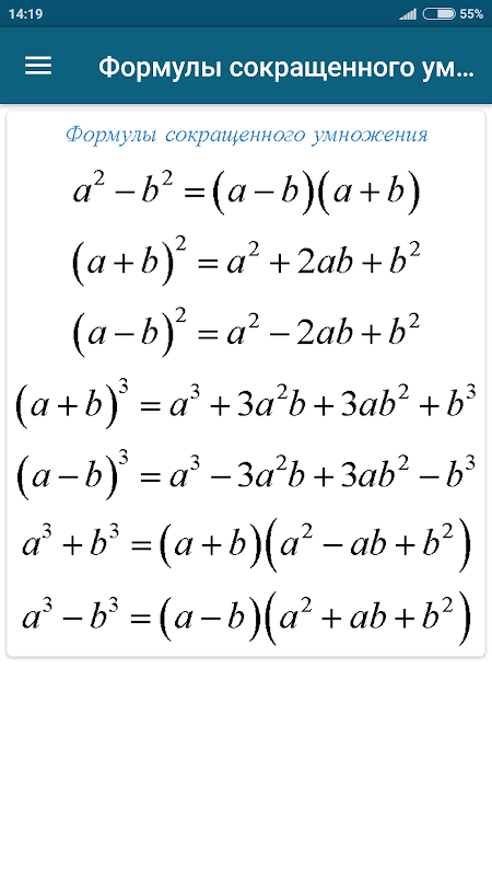
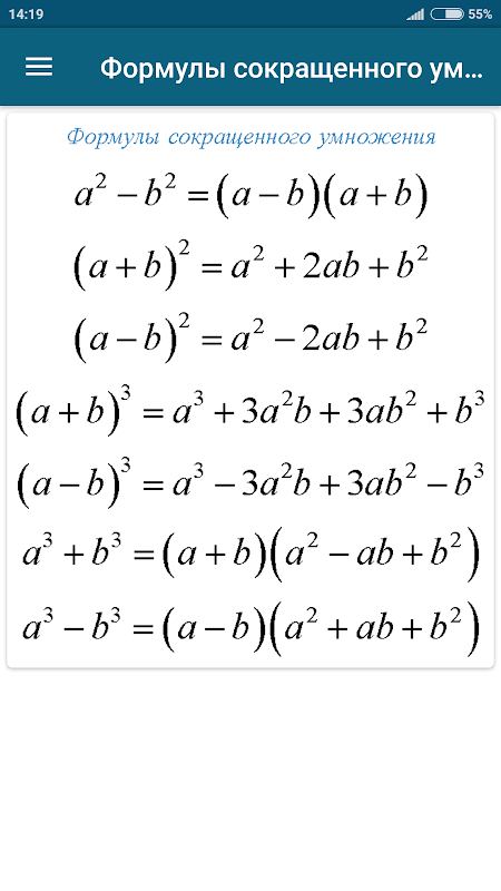
- सूत्र बीजगणित
- सूत्र की ज्यामिति
- त्रिकोणमिति के सूत्र
- सूत्र के भौतिकी पर
- रसायन विज्ञान के सूत्र।
और यह भी बीजगणित, त्रिकोणमिति, भौतिकी और रसायन शास्त्र पर अतिरिक्त सामग्री।
विशेषताएं:
- उपयोगकर्ता के अनुकूल और सुंदर इंटरफ़ेस
- सूत्र खोजने के या सामग्री एक 3 गुट हो सकता है
- स्पष्टीकरण और गूढ़ रहस्य के साथ 500 से अधिक फार्मूले
- उपयोगी अतिरिक्त सामग्री का एक बहुत
- सभी विषयों और एक भी आवेदन में वर्गों
- छोटे आकार = 10 एमबी।
सभी सूत्र और अतिरिक्त सामग्री आसानी से वर्गों में स्थित हैं, ताकि वे जल्दी से पाया जा सकता है। सभी सूत्र विवरण और डिक्रिप्शन के लिए कर रहे हैं। फॉर्मूला ज्यामिति व्याख्यात्मक चित्र हैं। अतिरिक्त सामग्री सुविधाजनक और स्पष्ट रूप से टेबल में उल्लिखित है।
एप्लिकेशन बेहतर कार्यात्मकता बताया सूत्रों, और संदर्भ सामग्री के साथ अपडेट प्राप्त करने के लिए जारी रहेगा। एप्लिकेशन "फॉर्मूला। छात्र निर्देशिका" के साथ सही फार्मूला और सामग्री आसानी और तेज़ी से करने के लिए।
What's new in the latest 3.2.6
Формулы. Справочник школьника APK जानकारी
Формулы. Справочник школьника के पुराने संस्करण
Формулы. Справочник школьника 3.2.6
Формулы. Справочник школьника 3.2.5
Формулы. Справочник школьника 3.2.4
Формулы. Справочник школьника 3.2.3
APKPure ऐप के माध्यम से सुपर तेज़ और सुरक्षित डाउनलोडिंग
एंड्रॉइड पर XAPK/APK फ़ाइलें इंस्टॉल करने के लिए एक-क्लिक करें!







