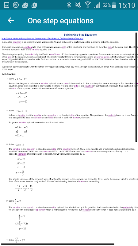
AUSD myLocker के बारे में
myLocker किसी भी डिवाइस पर स्कूल के लिए पहुँच प्रदान अपने निजीकृत बादल है
AUSD myLocker is your personalized cloud desktop providing access to school from anywhere on any device. AUSD myLocker is ideal for empowering students and staff to maximize academic effort by facilitating access to academic tools using your personal virtual instructional desktop.
With more and different devices showing up in the classrooms today, users expecting 24/7 access, and schools needing to lower costs, a different approach is needed and quick.
AUSD myLocker gives you real time access to your cloud folders, any mapped Active Directory shares and Apps if your school or organization has AUSD myLocker.
Seamlessly access all your files:
Dropbox
Google Drive
SkyDrive
School Network
AUSD myLocker Cloud Drive
Now with printing support! Print your documents to any Air Print connected printer.
PLEASE NOTE: Your school or organization must have AUSD myLocker WEB EDITION for this app to work.
What's new in the latest 28.0
AUSD myLocker APK जानकारी
AUSD myLocker के पुराने संस्करण
AUSD myLocker 28.0
APKPure ऐप के माध्यम से सुपर तेज़ और सुरक्षित डाउनलोडिंग
एंड्रॉइड पर XAPK/APK फ़ाइलें इंस्टॉल करने के लिए एक-क्लिक करें!







