Math Formulas - Homework and Study Tips
12.1 MB
फाइल का आकार
Everyone
Android 4.1+
Android OS
Math Formulas - Homework and Study Tips के बारे में
स्पष्टीकरण के साथ गणित के फार्मूले का सबसे अच्छा संग्रह!
Best collection of math formulas with explanation!
Particularly useful for students who is going to pass math exams.
The app covers:
ALGEBRA
Sets of Real Numbers
Properties of Real Numbers
Properties of Equality
Properties of Fractions
Division Properties of Zero
Real Number Line
Interval
Absolute Value
Distance between Two Points on the Number Line
Definition of Positive Integer Exponents
Definition of b⁰
Definition of b⁻ⁿ
Properties of Exponents
Definition of ⁿ√a
Properties of Radicals
General Form of a Polynomial
Factoring Polynomials
Order of Operations
Adding and Subtracting Polynomials
Multiplying Polynomials
Dividing Polynomials
Rational Expressions
Complex Fractions
Definition of a Complex Number
Definition of a Linear Equation
Addition and Multiplication Properties of Equality
Systems of Linear Equations
Determinants
Quadratic Equations
Properties of Inequalities
Arithmetic Sequence
Arithmetic Series
Geometric Sequences
Geometric Series
Binomial Theorem
The Cartesian Coordinate System
Linear Functions
Forms of Linear Equations
Quadratic Functions
Basic Operation of Functions
Exponential Functions
Natural Exponential Function
Logarithmic Functions
GEOMETRY
Definition of an Angle
Unit Measurement of Angles
Types of Angles
Thales’ Theorem
Oblique Triangle
Geocenter of a Triangle
Orthocenter
Similarity of Triangles
The Law of Cosines
The Law of Sines
Right Triangle
Ratio of the Sides of a Right Triangle
Pythagorean Theorem
Equilateral Triangles
Isosceles Triangle
Square
Rectangle
Parallelogram
Rhombus
Trapezoid
Kite
Regular Polygons
Circle
Sector of a Circle
Segment of a Circle
Annulus (Circular Ring)
Ellipse
Cube
Cuboid
Right Prism
Pyramid
Frustum of Pyramid
Cone
Frustum of Cone
Cylinder
Hollow Cylinder
Sliced Cylinder
Sphere
Spherical Cap
Sector of a Sphere
Zone of a Sphere
Torus
Ellipsoid
Barrel
TRIGONOMETRY
Circular and Angular Measures
Trigonometric Circle
Basic Formulas
Trigonometric Ratios for Right Angled Triangles
Sum and Difference of Functions of Angles
Sum and Difference of Angles
Double Angle Formulas
Half Angle Formulas
Functions of Important Angles
Solving Trigonometric Equations
Verifying Trigonometric Identities
Graphs of the Sine and Cosine Functions
Graphs of the Tangent and Cotangent Functions
ANALYTICAL GEOMETRY
Distance between Two Points
Point of Division
Inclination and Slope of a Line
Parallel and Perpendicular Lines
Angle between Two Intersection Lines
Triangle
Equations for a Straight Line
Distance from a Line to a Point
Circles
Ellipses
Parabolas
Hyperbolas
Polar Coordinates
Cartesian Coordinates
Distance between Two Points
Angle between Two Lines
Every Plane
Line Perpendicular to Plane
Parallel and Perpendicular Planes
Distance of a Point from a Plane
Normal Form
Intercept Form
Angle Between Two Planes
The Straight Line in Space
Equations of a Line
Relative Directions of a Line and Plane
The Sphere
The Ellipsoid
Hyperboloid
Elliptic Paraboloid
Hyperbolic Paraboloid
Cylindrical Surface
MATHEMATICS OF FINANCE
Simple Interest
Compound Interest
Annuities
Amortization of Loans
Sinking Fund Payment
CALCULUS
Limits
Rule for Limits
Slope of Tangent Line
Definition of the Derivative
Basic Derivatives
Increasing and Decreasing Function y=f(x)
Maximum and Minimum Function y=f(x)
Solving Applied Problems
Integration
Basic Integration Rules
Integration by Substitution
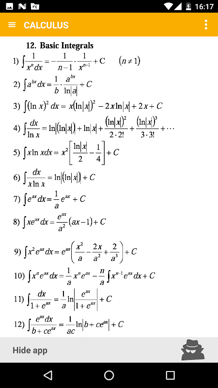
Basic Integrals
Arc Length
Finding an Area and a Volume
Finding the Area between Two Curves
STATISTICS
Definition of Set and Notation
Terms and Symbols
Venn Diagrams
Operations on Sets
De Morgan’s Laws
Counting the Elements in a Set
Permutations
Combinations
Probability Terminology
Basic Probability Principles
Random Variable
Mean Value or Expected Value
Variance
Standard Deviation
Normal Distribution
Binomial Distribution
Poisson Distribution
Exponential Distribution
General Reliability Definitions
Exponential Distribution Used as Reliability Function
What's new in the latest 2.2.1
Math Formulas - Homework and Study Tips APK जानकारी
Math Formulas - Homework and Study Tips के पुराने संस्करण
Math Formulas - Homework and Study Tips 2.2.1
Math Formulas - Homework and Study Tips 2.2.0
Math Formulas - Homework and Study Tips 2.1.5
Math Formulas - Homework and Study Tips 2.1.0
APKPure ऐप के माध्यम से सुपर तेज़ और सुरक्षित डाउनलोडिंग
एंड्रॉइड पर XAPK/APK फ़ाइलें इंस्टॉल करने के लिए एक-क्लिक करें!




