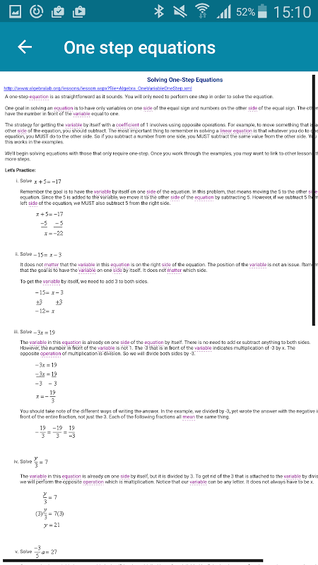
このBDS LaunchPadについて
BDS LaunchPadには、任意のデバイス上の学校へのアクセスを提供するパーソナライズされた雲です
BDS LaunchPad is your personalized cloud desktop providing access to school from anywhere on any device. BDS LaunchPad is ideal for empowering students and staff to maximize academic effort by facilitating access to academic tools using your personal virtual instructional desktop.
With more and different devices showing up in the classrooms today, users expecting 24/7 access, and schools needing to lower costs, a different approach is needed and quick.
BDS LaunchPad gives you real time access to your cloud folders, any mapped Active Directory shares and Apps if your school or organization has BDS LaunchPad.
Seamlessly access all your files:
Dropbox
Google Drive
SkyDrive
School Network
BDS LaunchPad Cloud Drive
Now with printing support! Print your documents to any Air Print connected printer.
PLEASE NOTE: Your school or organization must have BDS LaunchPad WEB EDITION for this app to work.







