RS Aggarwal 12th Math Solution
App For Student
2025年10月10日
17.9 MB
ファイルサイズ
Everyone
Android 7.0+
Android OS
このRS Aggarwal 12th Math Solutionについて
クラス12番目の学生のためのR.SAggarwal数学ソリューションとNCERTソリューション。
このアプリには次のものが含まれています- RS Aggrawal Math Solution for Class 12th、NCERT Math Book、with Solution and KeyNotes。 これは数学の学生にとって非常に役立ちます。皆さんのためにM.LAggrawal MathematicsSolutionも追加されています。
このアプリはオフラインでも使用できます-ファイルをダウンロードしたら-インターネット接続は必要ありませんこのアプリを使用するには
R.S Aggarwal for class 12th Mathematics Chapter Details
1.関係
2.機能
3.二項演算
4.逆三角関数
5.マトリックス
6.行列式
7.行列の隣接と逆行列
8.線形方程式のシステム
9.継続性と差別化可能性
10.差別化
11.デリバティブの適用
12.無期限の統合
13.統合の方法
14.いくつかの特別な積分
15.部分分数を使用した統合
16.定積分
17.境界領域の面積
18.微分方程式とその形成
19.可変分離可能な微分方程式
20.同次微分方程式
21.線形微分方程式
22.ベクトルとそのプロパティ
23.ベクトルのスケーラーまたはドット積
24.ベクトルの外積またはベクトル積
25.3つのベクトルの積
26.3次元ジオメトリの基本概念
27.空間の直線
28.平面
29.確率
30.ベイズの定理とその応用
31.確率分布
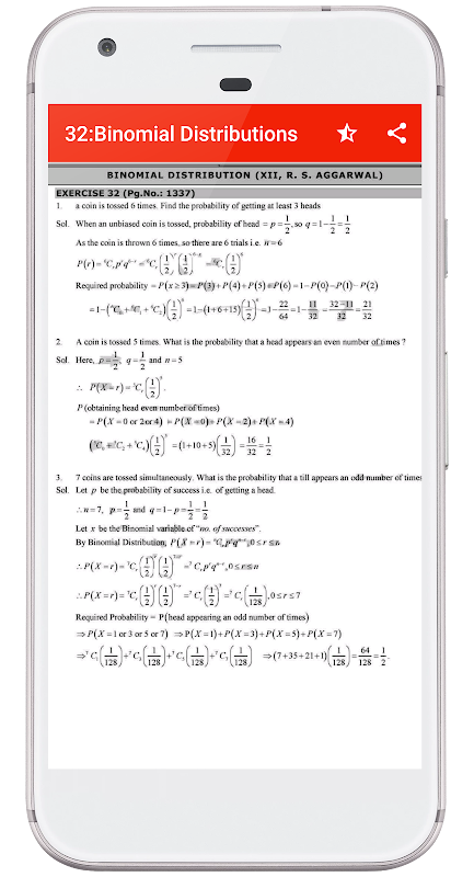
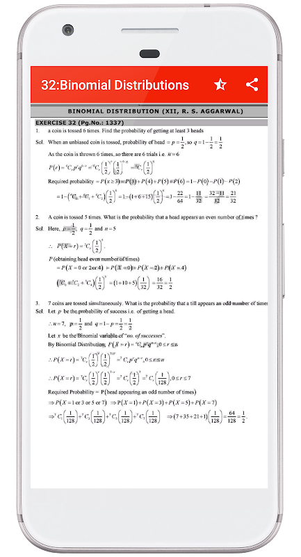
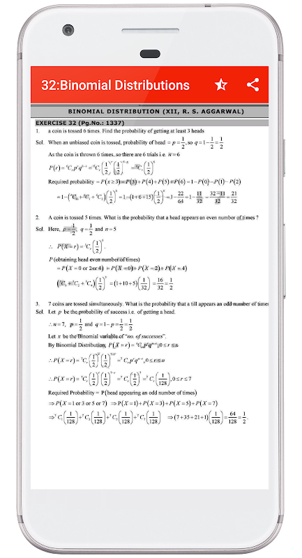
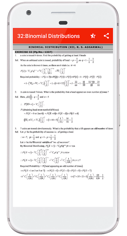
32.二項分布
33.線形計画法
最新バージョン 2.4 の更新情報
Last updated on 2025年10月10日
Minor bug fixes and improvements. Install or update to the newest version to check it out!
RS Aggarwal 12th Math Solution APK 情報
APKPure で安全で高速な APK のダウンロード
APKPure は署名検証を使用して、ウイルスフリーの RS Aggarwal 12th Math Solution APK ダウンロードを保証します。
RS Aggarwal 12th Math Solutionの旧バージョン
RS Aggarwal 12th Math Solution 2.4
17.9 MB2025年10月10日
RS Aggarwal 12th Math Solution 2.2
14.8 MB2025年01月24日
RS Aggarwal 12th Math Solution 2.1
15.6 MB2025年01月20日
RS Aggarwal 12th Math Solution 2.0
7.6 MB2023年02月12日





