Mengenai learn Precalculus
learn precalculus , functions and Pre calculus grapher with practice
In this interactive precalculus tutor course with practice , you will deepen and extend your knowledge of learn precalculus , functions, calculus grapher , calculus practice , and equations from high school algebra prep and geometry courses so you can successfully work with the concepts in a rigorous university-level calculus course. precalculus solver is designed to engage learners in the “doing” of mathematics, emphasizing conceptual understanding of mathematical definitions and student development of logical arguments in support of solutions. The calculus tutorial course places major emphasis on why the precalculus solver that shows steps topics by calculus calculator Assistant work within the discipline multivariable calculus and math problem solver, as opposed to simply the mechanics of the mathematics.
1- Trigonometric equations and identities
2 - Conic sections
3- Vectors
4- Matrices
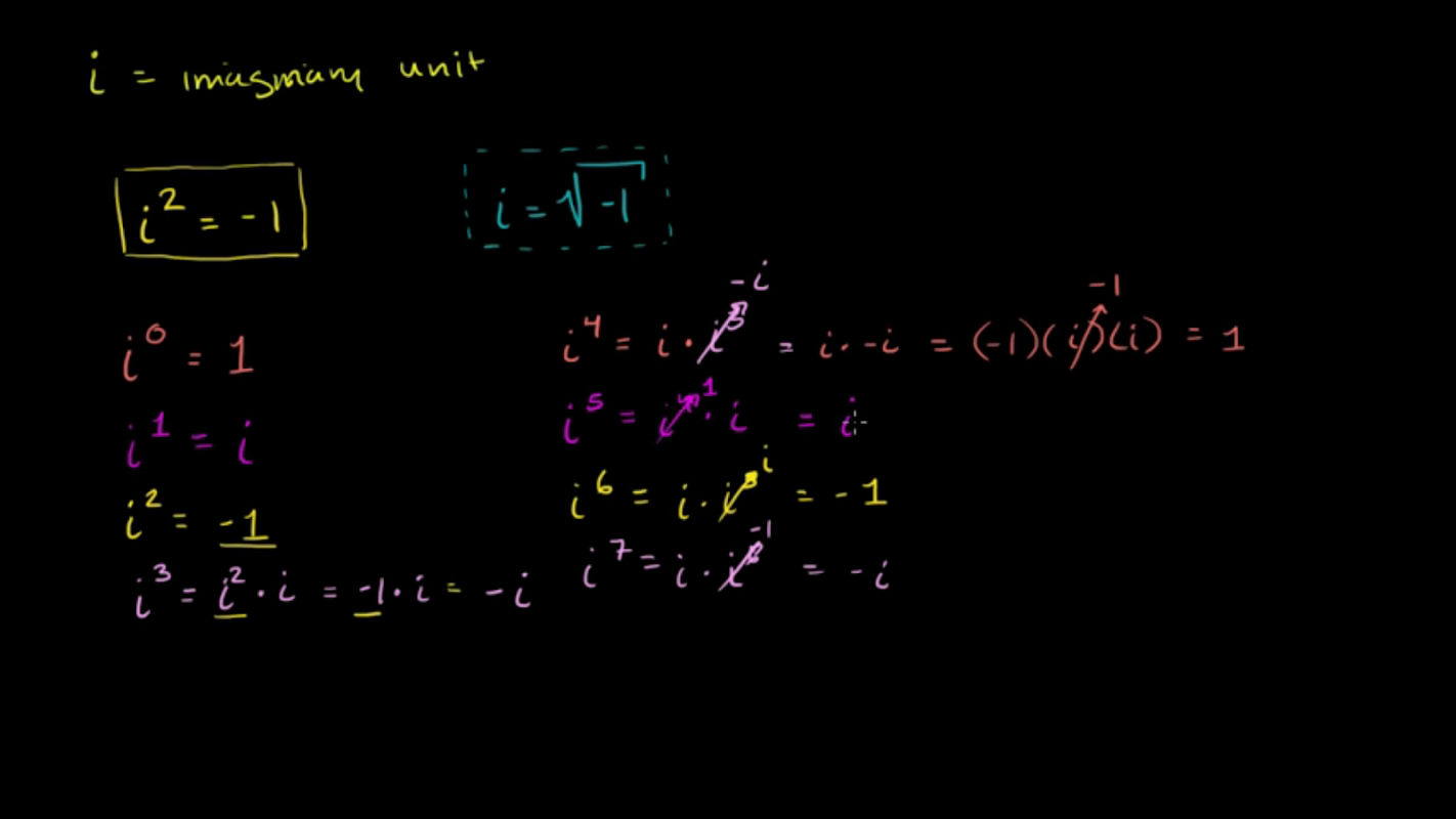
5- Imaginary and complex numbers
6- Probability and combinatorics
7- Sequences, series and induction
- You can learn in these sections :
Using trigonometric identities to solve problems , Graphing circles
Learn how to solve pre calculus trigonometric equations and how to use trigonometric identities to solve various problems.
The inverse trigonometric functions , integral calculus , Calculation problems 1 , arcsine , arctangent , arccosine , Using inverse trig functions with a calculator , Graphing a circle from its standard equation
- Center and radii of an ellipse , Ellipse graph
- Focus and directrix of a parabola
- hyperbolas , Vertices & direction of a hyperbola , Graphing hyperbolas
- Foci of a hyperbola , Proof of the hyperbola foci formula
- Hyperbolas not centered at the origin , circle & parabola , tangent of circle & hyperbola
- vectors & scalars , Equivalent vectors , Scalar multiplication , Vector addition and subtraction , Graphically adding & subtracting vectors , Adding vectors algebraically & graphically , Combined vector operations , Vector forms
- Vectors word problem: pushing a box
- Representing linear systems with matrices , Matrix row operations
- Solving linear systems with matrices , Row-echelon form and Gaussian elimination , Adding and subtracting matrices
- Transforming vectors using matrices , Matrices as transformations , Solving equations with inverse matrices , Solving linear systems with matrix equations
- Venn diagrams and the addition rule , Dependent events , Permutations , Combinations , Combination formula
- Arithmetic sequences , Finite arithmetic series , Arithmetic series worksheet , arithmetic series formula
- Adding and subtracting complex numbers , Polar form of complex numbers
Inverse trigonometric functions , precalculus formulas
Solving sinusoidal equations of the form sin(x)=d , cos(?)=1 and cos(?)=-1 , Solve sinusoidal equations , sinusoidal models , Trigonometric equations
the trigonometric angle , the cosine angle , sine angle , trigonometric identities , Pythagorean . Pythagorean ,
Solving sinusoidal equations , Solving sinusoidal models , trig angle addition identities
trig values , side lengths , convergent m quotient , linear functions and Rational Functions
- Identify the mean, median, mode, and standard deviation calculator of a set of data
- Calculate the dot product , cross product, and magnitude of two vectors so you can answer my math
- All these possibilities in one application are free
- Thanks for khan academy math
- All video and sources from khan academy organization
What's new in the latest 1.0
Maklumat APK learn Precalculus
Versi lama learn Precalculus
learn Precalculus 1.0
Muat Turun Super Pantas dan Selamat melalui Apl APKPure
Satu klik untuk memasang fail XAPK/APK pada Android!







