Mengenai Math Formulas
Semua formula matematik penting untuk semua pelajar gred. Diatur oleh Jenis.
Semua formula matematik penting untuk semua pelajar gred. Diatur oleh Jenis. Anda boleh mencari formula matematik dalam aplikasi ini. Kebanyakan kategori penting ialah:
Set nombor
Algebra
Geometri
Trigonometri
Matriks dan Determinates
Vektor
Analytic Geometry
Kalkulus Pembezaan
Calculus Integral
Persamaan Pembezaan
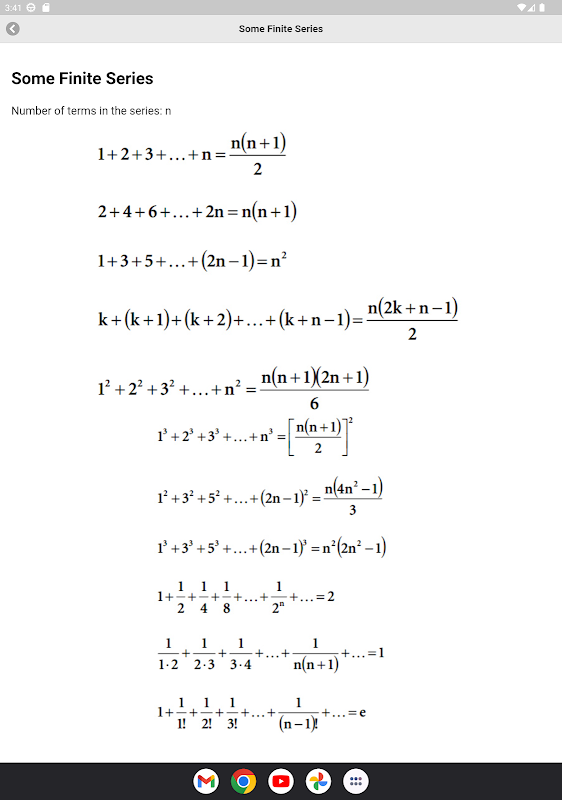
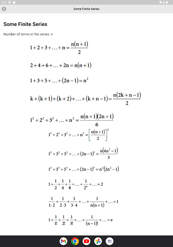
Siri
Kebarangkalian
What's new in the latest 1.7
Last updated on Sep 20, 2025
Minor bug fixes and improvements. Install or update to the newest version to check it out!
Maklumat APK Math Formulas
Versi terkini
1.7
Category
PendidikanAndroid OS
Android 7.0+
Saiz Fail
69.0 MB
Pemaju
Binary TutsPenilaian Kandungan
Everyone
Muat turun APK Selamat & Cepat di APKPure
APKPure menggunakan pengesahan tandatangan untuk memastikan muat turun APK Math Formulas tanpa virus untuk anda.
Versi lama Math Formulas
Math Formulas 1.7
69.0 MBSep 20, 2025
Math Formulas 1.6
69.0 MBSep 15, 2024
Math Formulas 1.5
67.7 MBApr 15, 2023
Math Formulas 1.0.3
64.0 MBFeb 23, 2020
Muat Turun Super Pantas dan Selamat melalui Apl APKPure
Satu klik untuk memasang fail XAPK/APK pada Android!







