دربارهی Math Formulas
همه فرمول های ریاضی ضروری برای تمام دانش آموزان کلاس. مرتب بر اساس نوع.
همه فرمول های ریاضی ضروری برای تمام دانش آموزان کلاس. مرتب بر اساس نوع. شما می توانید فرمول ریاضی در این برنامه را جستجو کنید. پرطرفدارترین دسته بندی ها مهم هستند:
تعداد مجموعه
جبر و مقابله
هندسه
مثلثات
ماتریس و Determinates
بردار
هندسه تحلیلی
حساب فاضله
انتگرال
معادلات دیفرانسیل
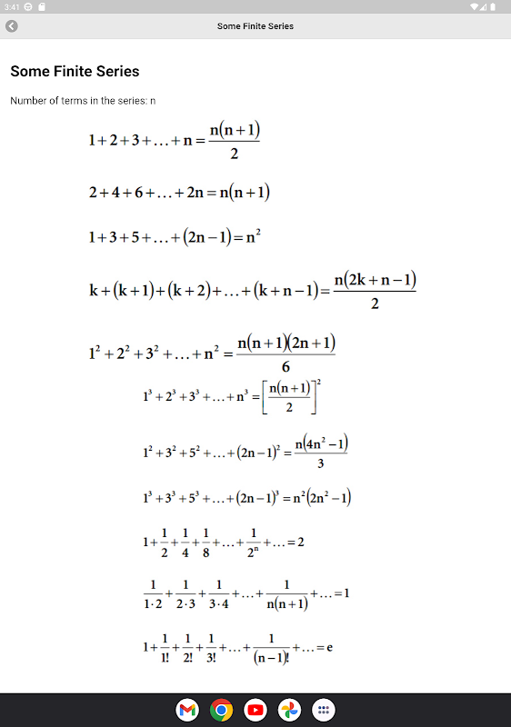
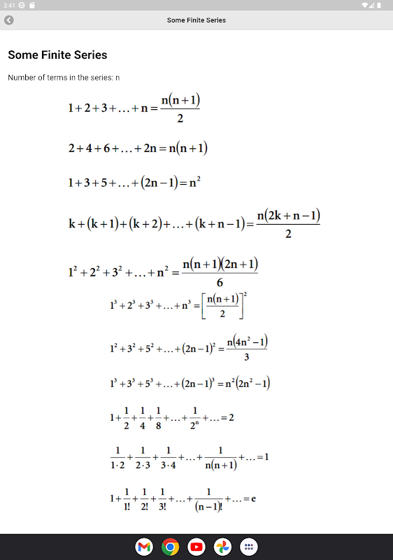
سلسله
احتمال
جدیدترین 1.7 چه خبر است
Last updated on 20/09/2025
Minor bug fixes and improvements. Install or update to the newest version to check it out!
اطلاعات Math Formulas APK
آخرین نسخه
1.7
دسته بندی
آموزشAndroid OS
Android 7.0+
اندازه فایل
69.0 MB
توسعه دهنده
Binary Tutsرتبهبندی محتوا
Everyone
ایمن و سریع APK دانلود در APKPure
APKPure از تأیید امضای نرمافزار برای اطمینان از دانلودهای بدون ویروس APK Math Formulas استفاده میکند.
نسخههای قدیمی Math Formulas
Math Formulas 1.7
69.0 MB20/09/2025
Math Formulas 1.6
69.0 MB15/09/2024
Math Formulas 1.5
67.7 MB15/04/2023
Math Formulas 1.0.3
64.0 MB23/02/2020
دانلود فوق سریع و ایمن از طریق برنامه APKPure
برای نصب فایل های XAPK/APK در اندروید با یک کلیک!







