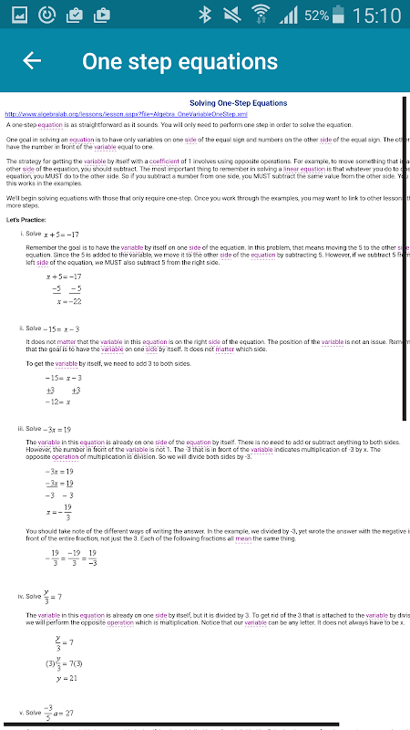
O CCPS Launchpad
CCPS jest Twoja spersonalizowana chmura zapewnienie dostępu do szkoły na dowolnym urządzeniu
CCPS Launchpad is your personalized cloud desktop providing access to school from anywhere on any device. CCPS Launchpad is ideal for empowering students and staff to maximize academic effort by facilitating access to academic tools using your personal virtual instructional desktop.
With more and different devices showing up in the classrooms today, users expecting 24/7 access, and schools needing to lower costs, a different approach is needed and quick.
CCPS Launchpad gives you real time access to your cloud folders, any mapped Active Directory shares and Apps if your school or organization has CCPS Launchpad.
Seamlessly access all your files:
Dropbox
Google Drive
SkyDrive
School Network
CCPS Launchpad Cloud Drive
Now with printing support! Print your documents to any Air Print connected printer.
PLEASE NOTE: Your school or organization must have CCPS Launchpad WEB EDITION for this app to work.
What's new in the latest 28.0
Informacje CCPS Launchpad APK
Stare wersje CCPS Launchpad
CCPS Launchpad 28.0
CCPS Launchpad 27.0
CCPS Launchpad 23.0
Superszybkie i bezpieczne pobieranie za pośrednictwem aplikacji APKPure
Jedno kliknięcie, aby zainstalować pliki XAPK/APK na Androidzie!







