Differential

Differential

Armanco
2019年12月09日
  • 2.7 MB

    文件大小

  • Everyone

  • Android 4.4+

    Android OS

關於Differential

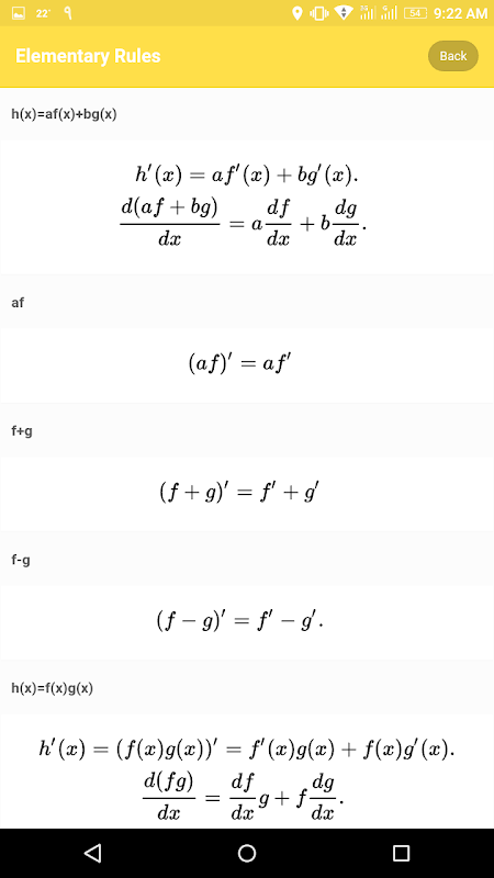
這個程序是用於計算在演算函數的導數的規則。

這個程序是用於計算在演算函數的導數的規則。

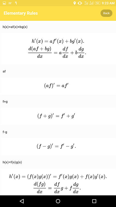
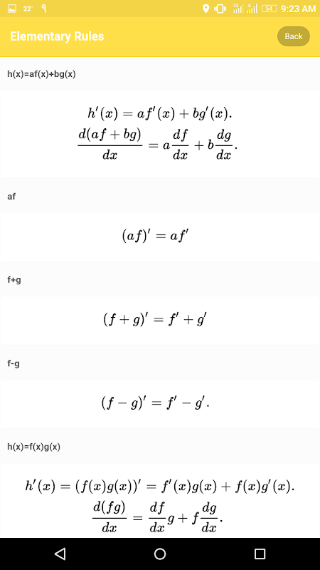
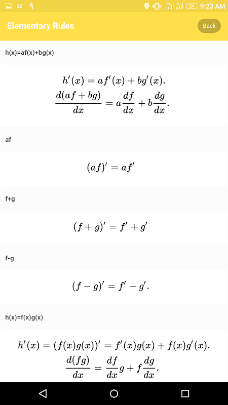
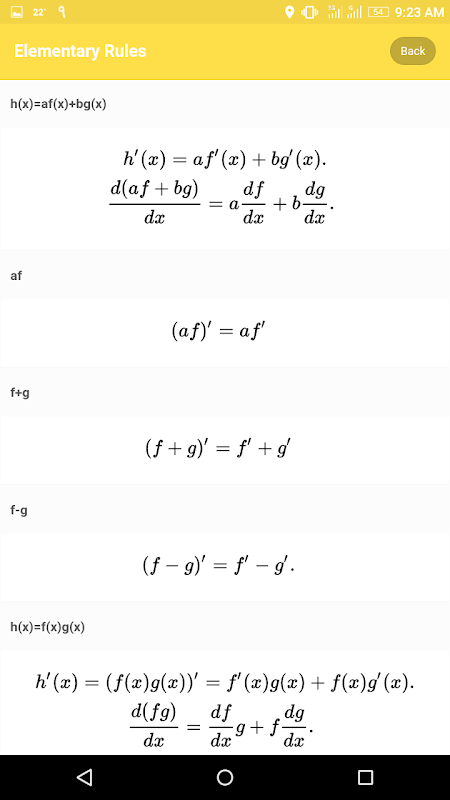
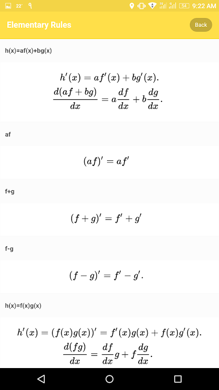
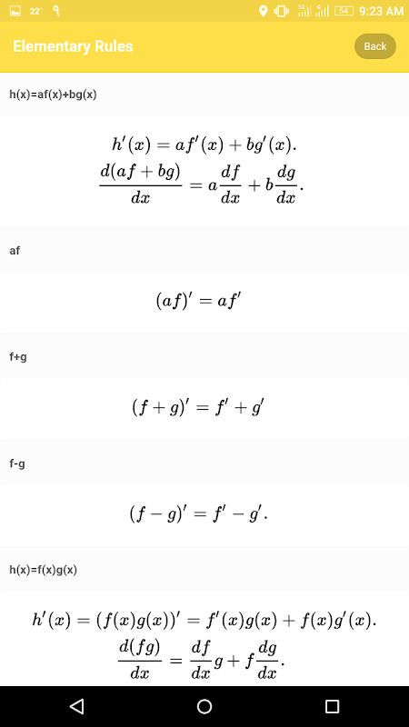
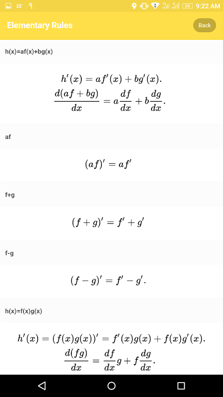
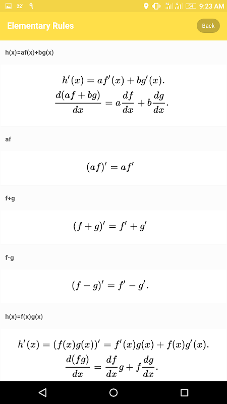
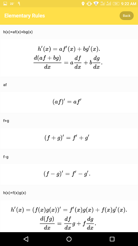
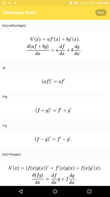
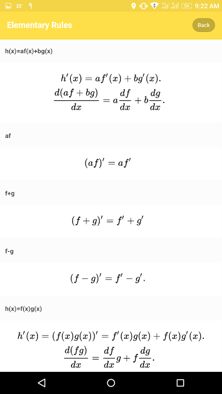
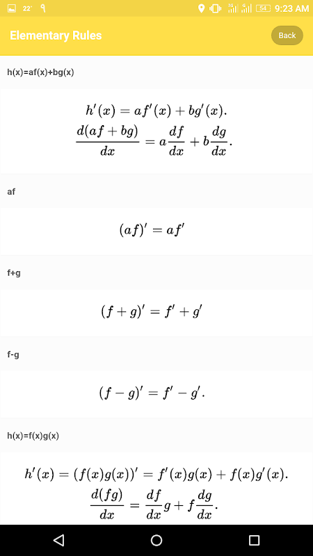
●基本規則

●指數和對數

●三角函數

●雙曲

●特殊功能

●n階

更多

最新版本4.0.0的更新日誌

Last updated on 2019年12月09日
Performance Improvement
更多

視頻和屏幕截圖

  • Differential 海報
  • Differential 截圖 1
  • Differential 截圖 2
  • Differential 截圖 3
  • Differential 截圖 4
  • Differential 截圖 5
  • Differential 截圖 6

Differential APK信息

最新版本
4.0.0
類別
教育
Android OS
Android 4.4+
文件大小
2.7 MB
開發者
Armanco
內容分級
Everyone
在APKPure安全快速地下載APK
APKPure 使用簽章驗證功能,確保為您提供無病毒的 Differential APK 下載。

Differential歷史版本

Differential 4.0.0

2.7 MB2019年12月09日
下載

Differential 1.0.2

6.2 MB2017年12月18日
下載
APKPure 圖標

在APKPure極速安全下載應用程式

一鍵安裝安卓XAPK/APK文件!

下載 APKPure
thank icon
We use cookies and other technologies on this website to enhance your user experience.
By clicking any link on this page you are giving your consent to our Privacy Policy and Cookies Policy.
Learn More about Policies