Giới thiệu về Algebra Tutorial 6
Hướng dẫn Toán tương tác cho các Hàm
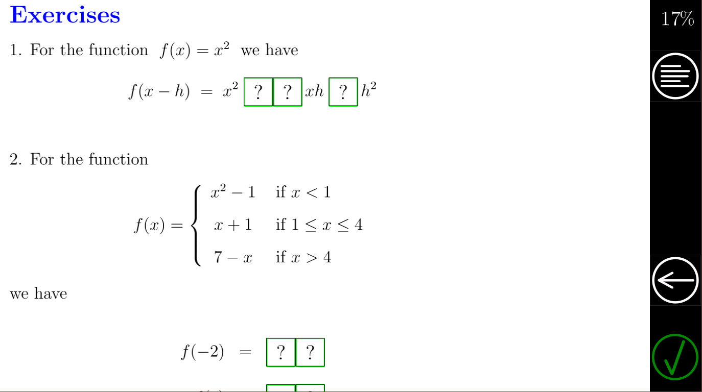
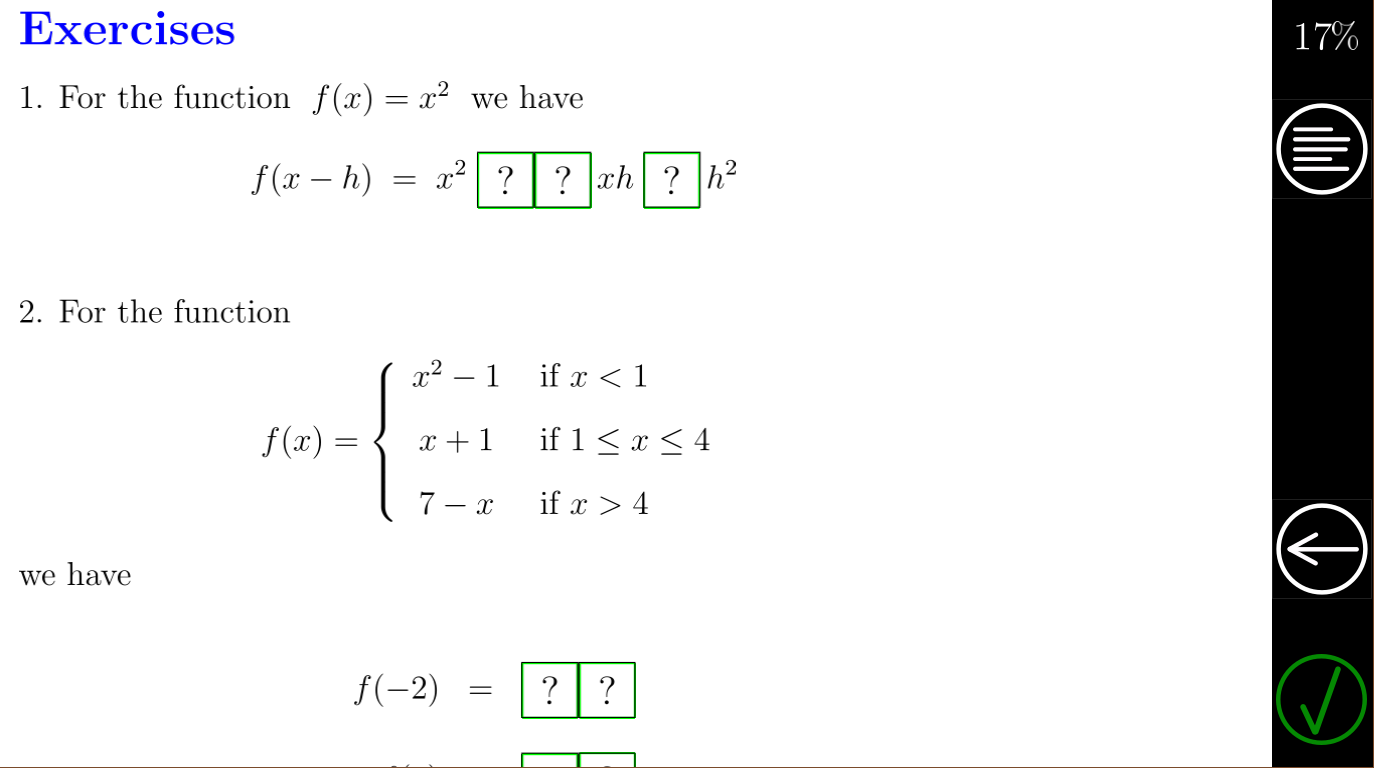
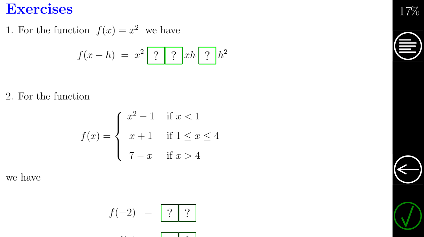
Trong hướng dẫn này, trước tiên chúng ta xem xét các hàm được xác định bởi một quy tắc (hoặc công thức). Sau đó, chúng tôi xem xét các hàm tổng quát hơn được xác định với một miền và miền đồng, và chúng tôi sử dụng đồ thị của một hàm để tìm phạm vi của hàm.
Hầu hết các khóa học Đại số (như khóa học này) là chuẩn bị cho khóa học Giải tích, và vì vậy chúng ta cũng xem xét định nghĩa Giải tích điển hình của một hàm trong đó hàm được chỉ định đơn giản bởi một quy tắc. Khi đó miền là tập con lớn nhất của tập hợp tất cả các số thực tương thích với quy tắc của hàm và miền đồng là tập hợp tất cả các số thực.
* Hướng đến học sinh trong hai năm cuối trung học.
* Việc học toán được thực hiện tốt nhất bằng cách thông qua các ví dụ và bài tập. Có rất nhiều ví dụ và bài tập tương tác trong hướng dẫn này phải được hoàn thành để đạt được 100% tiến độ.
* Được viết bởi một giáo viên Toán với 20 năm kinh nghiệm giảng dạy.
* Hoàn toàn miễn phí (không có Quảng cáo).
* Hoạt động mà không cần Internet để bạn có thể học Đại số khi đi trên tàu, xe buýt, v.v. Chỉ cần có Internet đối với các liên kết đến chính sách bảo mật và các hướng dẫn khác.
* Được làm bằng GameMaker.
* Chỉ tải xuống 13 MB.
What's new in the latest 1.0.4
Thông tin APK Algebra Tutorial 6
Phiên bản cũ của Algebra Tutorial 6
Algebra Tutorial 6 1.0.4
Algebra Tutorial 6 1.0.2
Algebra Tutorial 6 1.0.1
Tải xuống siêu nhanh và an toàn thông qua Ứng dụng APKPure
Một cú nhấp chuột để cài đặt các tệp XAPK/APK trên Android!







