
All Maths Formulas
- 16.7 MB - Tamanho do arquivo 
- Everyone 
- Android 4.0+ - Android OS 
Sobre este All Maths Formulas
Todas as fórmulas resolver suas necessidades básicas, fornecer material básico estudo
The All Study Formula app is a very simple method formula for all mathematical questions in all level
examination. Best part in All Study Formula Application is easy and important latest topics and syllabus
pattern. The app comprises all mathematical, physics and chemistry formula information to solve all
hard & easy questions.
Chemistry Formulas:
This app contain the list of all important common chemical compounds along with Atom, Element,
Molecule, Acidity and all basicity chemicals easy and hard formulas in easy method. This app provides
compatibility for study.
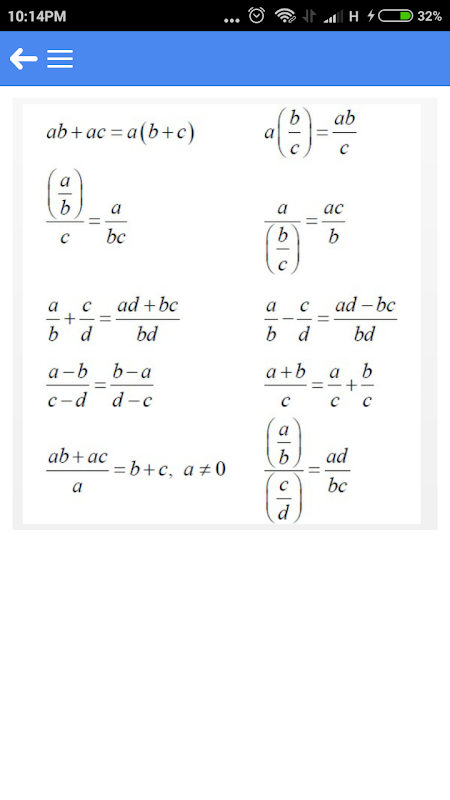
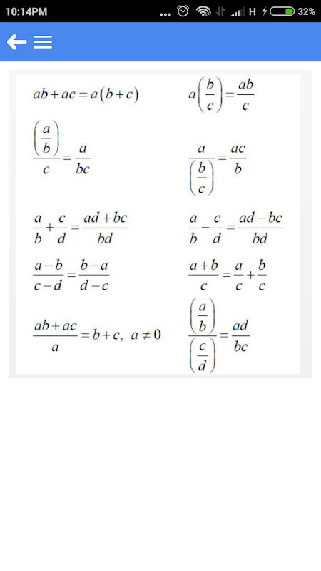
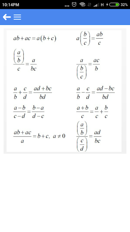
Mathematical Formulas:
This app helps to learn all mathematical difficult topics and formulas structure such as Basic Mathe,
Polynomials, Calculus, Probability, Trigonometry, Geometry and Logic.. The All Study Formula App
provides the all mathematical structures and good models of real insight or prediction about natures.
Physics Formulas:
In app include the all competition and all level examination of Physics. All important key of Physics
formula to very helpful for all students and competitive candidates easily and quickly preparing for all
level examination available in All Study Formula App.
Novidades em 2.1 mais recente
New topic
Informações sobre All Maths Formulas APK
Versões Antigas de All Maths Formulas
All Maths Formulas 2.1
All Maths Formulas 0.0.1

Baixar de Forma Rápida e Segura via APKPure App
Um clique para instalar arquivos XAPK/APK no Android!

























