Tentang All Maths Formulas
Semua Rumus memecahkan kebutuhan dasar Anda, menyediakan materi studi dasar
The All Study Formula app is a very simple method formula for all mathematical questions in all level
examination. Best part in All Study Formula Application is easy and important latest topics and syllabus
pattern. The app comprises all mathematical, physics and chemistry formula information to solve all
hard & easy questions.
Chemistry Formulas:
This app contain the list of all important common chemical compounds along with Atom, Element,
Molecule, Acidity and all basicity chemicals easy and hard formulas in easy method. This app provides
compatibility for study.
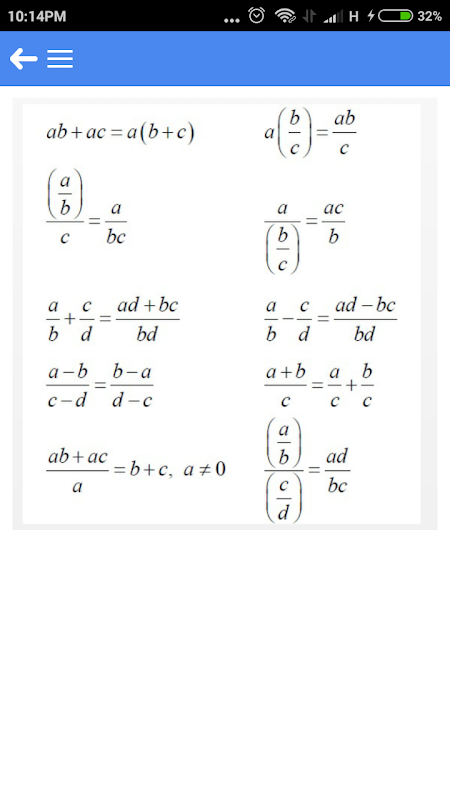
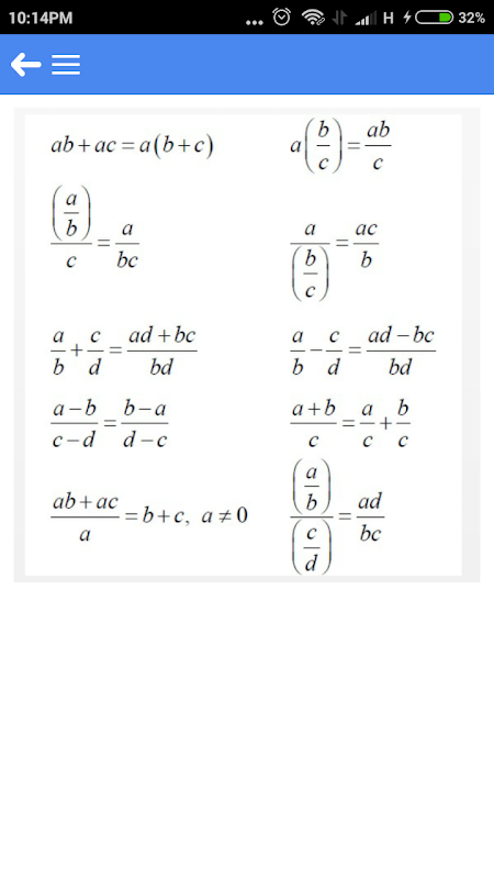
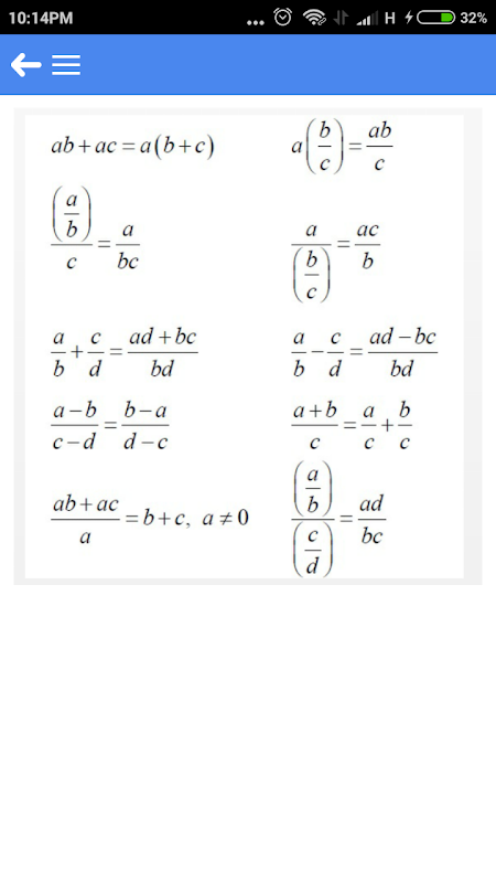
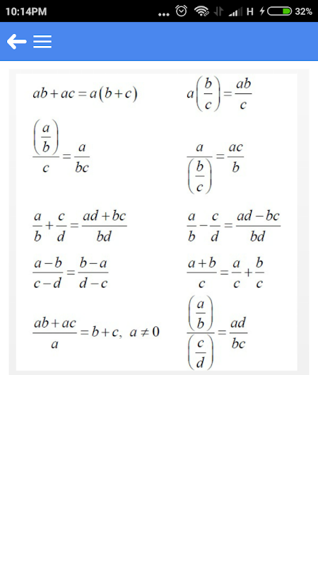
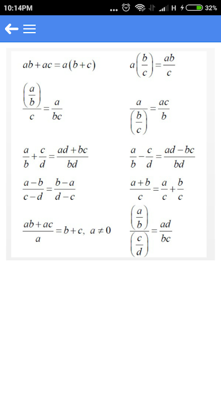
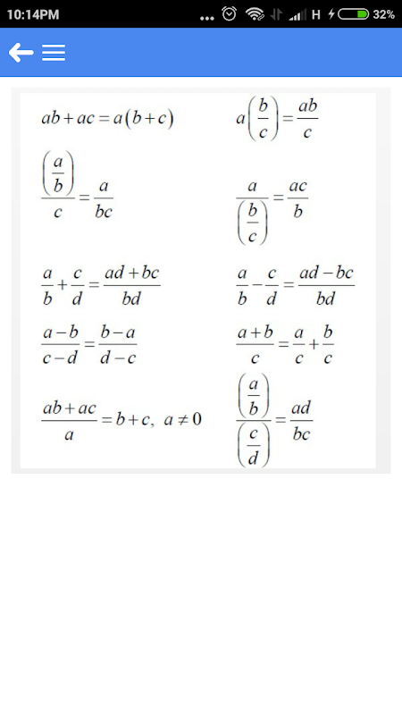
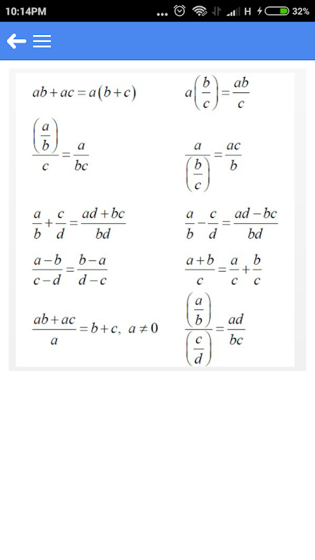
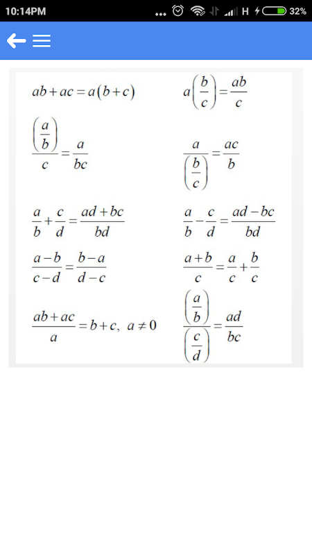
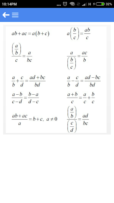
Mathematical Formulas:
This app helps to learn all mathematical difficult topics and formulas structure such as Basic Mathe,
Polynomials, Calculus, Probability, Trigonometry, Geometry and Logic.. The All Study Formula App
provides the all mathematical structures and good models of real insight or prediction about natures.
Physics Formulas:
In app include the all competition and all level examination of Physics. All important key of Physics
formula to very helpful for all students and competitive candidates easily and quickly preparing for all
level examination available in All Study Formula App.
What's new in the latest 2.1
New topic
Informasi APK All Maths Formulas
Versi lama All Maths Formulas
All Maths Formulas 2.1
All Maths Formulas 0.0.1

Pengunduhan Super cepat dan aman melalui aplikasi APKPure
Sekali klik untuk menginstal file XAPK/APK di Android!


























