GATE Maths
23.8 MB
Tamanho do arquivo
Everyone
Android 4.0.3+
Android OS
Sobre este GATE Maths
É uma fonte de todas as fórmulas para a engenharia de Matemática.
Tópico coberto:
* Cálculo
1. Maclaurins e Taylors Series
2. Formulários Indeterminados
3. Diferenciação Parcial
4. Aplicação do PD
5. Rastreamento De Curvas
6. Sequências e Séries
7. Integrais Impróprias
8. Integrais Múltiplos
9. Fórmulas de Redução
* Maths-2
1. Sistema de Matrizes de Equações Lineares
2. Espaços Vectoriais
3. Transformação Linear
4. Espaços internos do produto
5. Autovalores - Autovetores
6. Funções do Vetor
7. Cálculo Vetorial
* Matemática avançada em engenharia: -
1. Primeiro pedido
2. Ordem Superior
3. Laplace
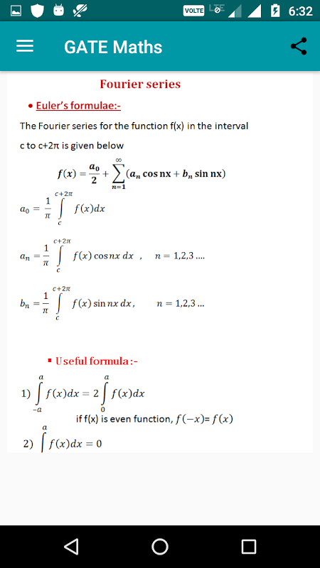
4. Fourier
5. Série de Potência
6. P.D.E
* Método Numérico: -
1) análise de erros e métodos iterativos
2) diferenças finitas e interpolação
3) diferenciação numérica e integração
4) solução numérica da equação diferencial ordinária
5) sistema de equações de álgebra linear
* Método complexo: -
1) números complexos e funções elementares
2) funções analíticas
3) integração complexa
4) série de potência
5) Teorema do resíduo
* Probabilidade e Estatística: -
1) Conceitos básicos de probabilidade
2) O conceito de variáveis aleatórias e distribuições condicionais
3) computação estatística
4) Correlação e Regressão
5) Ajuste de Curva e Princípio dos Mínimos Quadrados
* Fórmulas Básicas
1) Integração
2) Diferenciação
3) Trigonometria
* Também cobrimos assuntos atuais com este aplicativo que seria útil para a preparação para o exame
* Adoraríamos ouvir de você! Por favor, diga-nos como estamos fazendo ou como podemos ajudá-lo
* Exibe dados em uma interface bonita e interativa, facilitando o acesso e a leitura.
Novidades em 1.2 mais recente
Informações sobre GATE Maths APK
Versões Antigas de GATE Maths
GATE Maths 1.2
GATE Maths 1.1
GATE Maths 1.0
Baixar de Forma Rápida e Segura via APKPure App
Um clique para instalar arquivos XAPK/APK no Android!






