このGATE Mathsについて
これは、エンジニアリング、数学のためのすべての式の源です。
対象トピック:
*微積分
マクロラウリンとテイラーズシリーズ
不定形式
3.偏微分
4. PDの応用
曲線のトレース
6.シーケンスとシリーズ
不適切な積分
8.多重積分
9.リダクション式
*数学2
線形方程式の行列システム
2.ベクトル空間
線形変換
4.内積スペース
5.固有値 - 固有ベクトル
ベクトル関数
7.ベクトル計算
*高度工学数学: -
1.最初の注文
2.高次
ラプラス
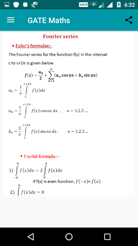
フーリエ
5.パワーシリーズ
6. P.D.E
*数値計算方法: -
1)エラー分析と反復法
2)差分と補間
3)数値微分および積分
4)常微分方程式の数値解
5)線形代数方程式系
*複雑な方法: -
1)複素数と初等関数
2)分析機能
3)複雑な統合
4)べき級数
5)剰余定理
*確率と統計: -
1)確率の基本概念
2)確率変数と条件付き分布の概念
3)統計計算
4)相関と回帰
5)カーブフィッティングと最小二乗法の原理
*基本フォーミュラ
1)統合
2)分化
3)三角法
*我々はまた、試験の準備に役立ちますこのアプリで時事をカバー
* あなたからの御一報をお待ちしています!私たちがどのようにしているのか、どのようにあなたを助けることができるのかを教えてください
*データを美しくインタラクティブなインターフェースで表示するため、アクセスや読み取りが簡単になります。
最新バージョン 1.2 の更新情報
Last updated on 2019-02-16
#Added New Formulas,Chapters and Few Correction
GATE Maths APK 情報
APKPure で安全で高速な APK のダウンロード
APKPure は署名検証を使用して、ウイルスフリーの GATE Maths APK ダウンロードを保証します。
GATE Mathsの旧バージョン
GATE Maths 1.2
23.8 MB2019年02月16日
GATE Maths 1.1
17.1 MB2017年11月24日
GATE Maths 1.0
17.3 MB2017年08月30日






