Über Table of integrals. Formulas
Integraltabelle - die Grundformeln von unbestimmten Integralen.
Integraltabelle - die Grundformeln von unbestimmten Integralen.
Formeln:
- Grundlegende Integrationsformeln
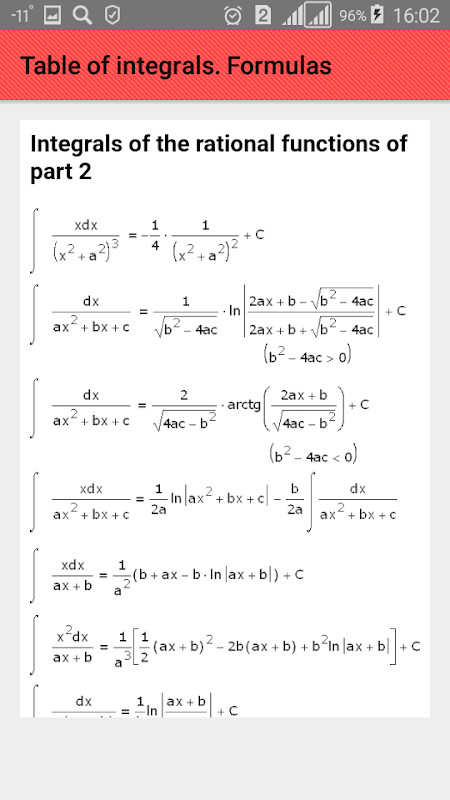
- Integrale der rationalen Funktionen eines Teils
- Integrale von transzendentalen Funktionen
- Integrale der irrationalen Funktionen eines Teils
- Integrale trigonometrischer Funktionen eines Teils
- Eigentum unbestimmter Integrale
- Eigenschaften des bestimmten Integrals
What's new in the latest 1.0
Last updated on Sep 10, 2019
Minor bug fixes and improvements. Install or update to the newest version to check it out!
Table of integrals. Formulas APK -Informationen
Sichere und schnelle APK-Downloads auf APKPure
Mit APKPure können Sie Table of integrals. Formulas APK einfach und sicher mit Signaturüberprüfung herunterladen.
Alte Versionen von Table of integrals. Formulas
Table of integrals. Formulas 1.0
2.7 MBSep 10, 2019
Superschnelles und sicheres Herunterladen über die APKPure-App
Ein Klick zur Installation von XAPK/APK-Dateien auf Android!





