Informazioni su Table of integrals. Formulas
Tabella degli integrali - le formule di base degli integrali indefiniti.
Tabella degli integrali - le formule di base degli integrali indefiniti.
formule:
- Formule di integrazione di base
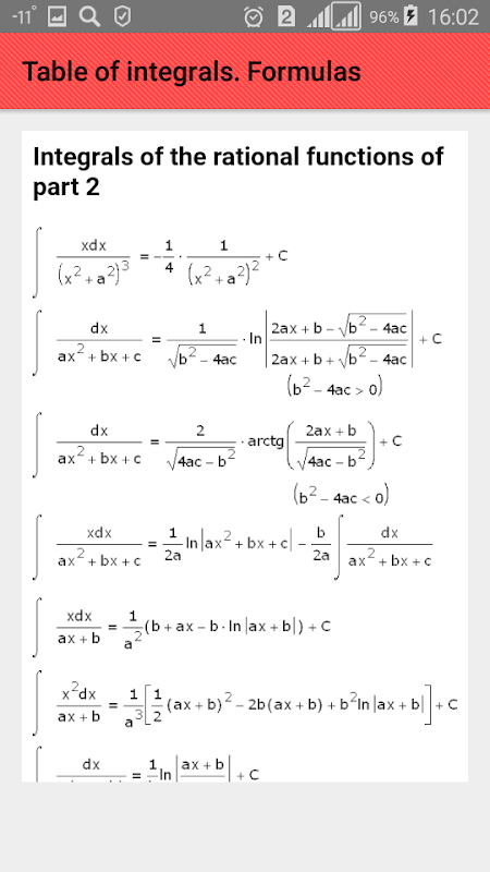
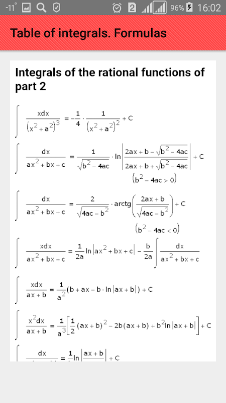
- Integrali delle funzioni razionali di parte
- Integrali delle funzioni trascendentali
- Integrali delle funzioni irrazionali di parte
- Integrali di funzioni trigonometriche di parte
- Proprietà di integrali indeterminati
- Proprietà del Definite Integral
What's new in the latest 1.0
Last updated on Sep 10, 2019
Minor bug fixes and improvements. Install or update to the newest version to check it out!
Informazioni sull'APK Table of integrals. Formulas
Ultima versione
1.0
Categoria
IstruzioneAndroid OS
Android 4.3+
Dimensione
2.7 MB
Sviluppatore
MyAppBookClassificazione dei contenuti
Everyone
Download APK sicuri e veloci su APKPure
APKPure utilizza la verifica delle firme per garantire download di APK Table of integrals. Formulas senza virus per te.
Vecchie versioni di Table of integrals. Formulas
Table of integrals. Formulas 1.0
2.7 MBSep 10, 2019
Download super veloce e sicuro tramite l'app APKPure
Basta un clic per installare i file XAPK/APK su Android!





