Acerca del ALL MATHS FORMULA
All Maths Formula esta aplicación puso todas las fórmulas en cuanto a temas de toda la clase.
Tema de fórmula matemática sabio
Aquí está el paquete de fórmulas matemáticas para todos los usuarios de Android.
Esta aplicación tiene fórmulas matemáticas y más por venir.
Ahora no es necesario que tome notas en papel para recordar fórmulas matemáticas, solo haga que esta aplicación coloque todas las fórmulas en sus teléfonos favoritos.
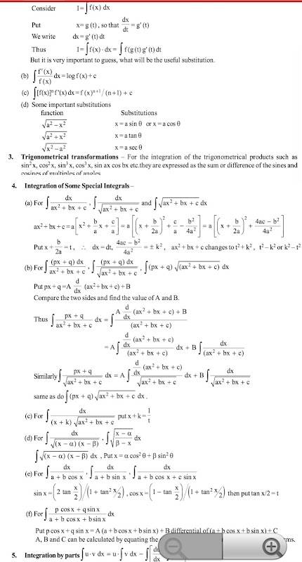
encontrará fórmulas explicadas de manera muy simple en la aplicación con las cifras necesarias que lo ayudarán a comprender muy fácilmente.
** Fórmulas cubiertas Class Wise en esta aplicación **
Fórmulas de sexta clase ........
Conociendo nuestros números
Números enteros
Jugando con números
Ideas geométricas básicas
Enteros
Medición
Álgebra
Razón y proporción
Geometría
Fórmulas de séptima clase ........
Fórmulas de números enteros
Fracciones y decimales
Manejo de datos
Líneas y ángulos
El triángulo y sus propiedades
Congruencia de triángulos
Numeros racionales
Expresiones algebraicas
Exponentes y poderes
Simetría
Fórmulas de octava clase ......
Numeros racionales
Ecuaciones lineales en una variable
Entendiendo los cuadriláteros
Geometría práctica
Manejo de datos
Cuadrados y raíces cuadradas
Cubos y raíces cúbicas
Comparación de cantidades
Expresiones e identidades algebraicas
Visualización de formas sólidas
Medición
Exponentes y poderes
Proporciones directas e inversas
Factorización
Introducción a los gráficos
Jugando con números
Fórmulas de novena clase .........
Sistemas numéricos
Geometría coordinada
Ecuaciones lineales en dos variables
Introducción a la geometría de Euclides
Líneas y ángulos
triangulos
Cuadriláteros
Áreas de paralelogramos y triángulos
Círculos
Fórmula de la garza
Áreas de superficie y volúmenes
Estadísticas
Probabilidad
Fórmulas de décima clase
Numeros reales
Polinomios
Par de ecuaciones lineales en dos variables
Ecuaciones cuadráticas
Progresiones aritméticas
triangulos
Geometría coordinada
Introducción a la trigonometría
Círculos
Áreas de superficie y volúmenes
Estadísticas
Probabilidad
Fórmulas de la 11a clase ..........
Conjuntos
Relaciones y funciones
Funciones trigonométricas
Números complejos y ecuaciones cuadráticas
Permutaciones y combinaciones
Teorema del binomio
Secuencia y serie
Lineas rectas
Secciones cónicas
Introducción a la geometría tridimensional
Límites y derivados
Estadísticas
Fórmulas de la 12a clase .......
Relaciones y funciones
Funciones trigonométricas inversas
Matrices
Determinantes
Continuidad y diferenciabilidad
Aplicación de derivados
Integrales
Aplicación de integrales
Ecuaciones diferenciales
Álgebra vectorial
Geometría tridimensional
Programación lineal
Probabilidad
Gracias.
Novedades más recientes 1.6
Información de ALL MATHS FORMULA APK
Versiones Antiguas de ALL MATHS FORMULA
ALL MATHS FORMULA 1.6
ALL MATHS FORMULA 1.5
Descarga rápida y segura a través de APKPure App
¡Un clic para instalar archivos XAPK/APK en Android!






