All Mathematics Formula's 2024
14.1 MB
File Size
Everyone
Android 4.4+
Android OS
About All Mathematics Formula's 2024
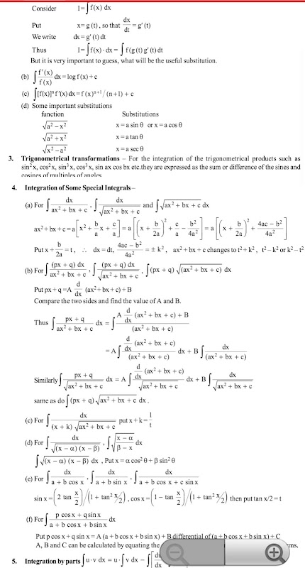
All Maths Formula this app put all the formulas topic wise all Class.
Math Formula Topic Wise
Here is maths formulas pack for all android users.
This app has maths formula and more to come.
Now no need to make paper notes to remember mathematics formulas just have this app put all the formulas on your favourite phones.
you'll find formulas very simply explained in app with necessary figures will help you to understand very easily.
**Formulas covered Class Wise in this app**
6th Class Formulas........
Knowing Our Numbers
Whole Numbers
Playing with Numbers
Basic Geometrical Ideas
Integers
Mensuration
Algebra
Ratio and Proportion
Geometry
7th class Formulas........
Integers Formulas
Fractions and Decimals
Data Handling
Lines and Angles
The Triangle and Its Properties
Congruence of Triangles
Rational Numbers
Algebraic Expressions
Exponents and Powers
Symmetry
8Th Class Formulas......
Rational Numbers
Linear Equations in One Variable
Understanding Quadrilaterals
Practical Geometry
Data Handling
Squares and Square Roots
Cubes and Cube Roots
Comparing Quantities
Algebraic Expressions and Identities
Visualising Solid Shapes
Mensuration
Exponents and Powers
Direct and Inverse Proportions
Factorisation
Introduction to Graphs
Playing with Numbers
9th Class Formulas.........
Number Systems
Coordinate Geometry
Linear Equations in Two Variables
Introduction to Euclid’s Geometry
Lines and Angles
Triangles
Quadrilaterals
Areas of Parallelograms and Triangles
Circles
Heron’s Formula
Surface Areas and Volumes
Statistics
Probability
10Th Class Formulas
Real Numbers
Polynomials
Pair of Linear Equations in Two Variables
Quadratic Equations
Arithmetic Progressions
Triangles
Coordinate Geometry
Introduction to Trigonometry
Circles
Surface Areas and Volumes
Statistics
Probability
11Th Class Formulas..........
Sets
Relations and Functions
Trigonometric Functions
Complex Numbers and Quadratic Equations
Permutations and Combinations
Binomial Theorem
Sequence and Series
Straight Lines
Conic Sections
Introduction to Three Dimensional Geometry
Limits and Derivatives
Statistics
12Th Class Formulas.......
Relations and Functions
Inverse Trigonometric Functions
Matrices
Determinants
Continuity and Differentiability
Application of Derivatives
Integrals
Application of Integrals
Differential Equations
Vector Algebra
Three Dimensional Geometry
Linear Programming
Probability
Thanks.
What's new in the latest 1.6
All Mathematics Formula's 2024 APK Information
Old Versions of All Mathematics Formula's 2024
All Mathematics Formula's 2024 1.6
All Mathematics Formula's 2024 1.5
Super Fast and Safe Downloading via APKPure App
One-click to install XAPK/APK files on Android!






