Bocoran Soal Matematika UN SMA
22.9 MB
Tamaño de archivo
Everyone
Android 4.1+
Android OS
Acerca del Bocoran Soal Matematika UN SMA
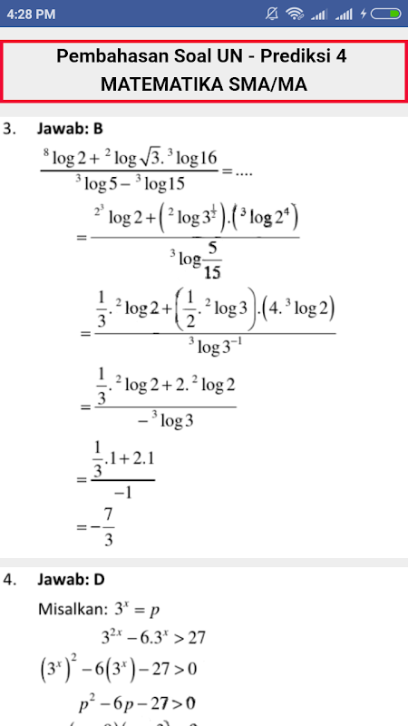
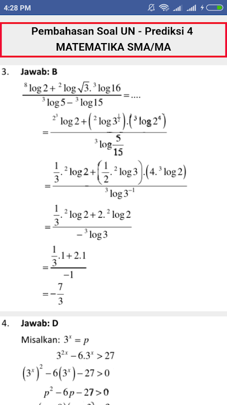
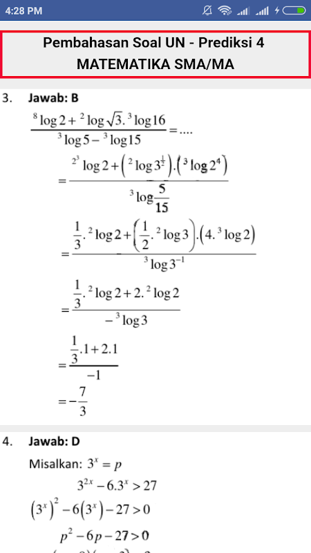
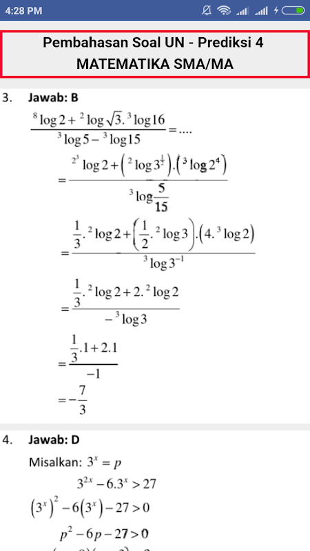
Prediksi, Kisi-Kisi, Bocoran Soal ONU (UNBK) SMA Mata Pelajaran Matematika
Aplikasi Bocoran Soal UN / UNBK Matematika SMA Terbaru 2020 adalah kumpulan Soal UN / UNBK Mata Pelajaran Matematika SMA yang sangat lengkap dan akurat dilengkapi oleh Kunci Jawaban dan Pembahasannya.
Pelajari Pembahasannya dan dapatkan Metode Menjawab Soal yang singkat, cepat dan cerdas.
Aplikasi Bocoran Soal Matematika UN / UNBK SMA Terbaru 2020 ini memiliki Prediksi, Kisi-Kisi, Bocoran yang akurat tentang Mata Pelajaran Matematika SMA.
Silahkan dicoba di Install dan Pelajari Soal - Soal UN UNBK Matematika SMA nya. Kamu akan mendapatkan tipe-tipe soal UN / UNBK Mata Pelajaran Matematika yang sering keluar Ujian UN / UNBK.
Setelah diinstall, bantu kasih 5 Bintang ya ...
Terimakasih
Novedades más recientes 6.0
Información de Bocoran Soal Matematika UN SMA APK
Versiones Antiguas de Bocoran Soal Matematika UN SMA
Bocoran Soal Matematika UN SMA 6.0
Bocoran Soal Matematika UN SMA 5.0
Bocoran Soal Matematika UN SMA 4.0
Bocoran Soal Matematika UN SMA 3.0
Descarga rápida y segura a través de APKPure App
¡Un clic para instalar archivos XAPK/APK en Android!







