Bocoran Soal Matematika UN SMA
22.9 MB
Saiz Fail
Everyone
Android 4.1+
Android OS
Mengenai Bocoran Soal Matematika UN SMA
Jangkaan, Kisi-Kisi, Bocoran Soal UN (UNBK) SMA Mata Pelajaran Matematik
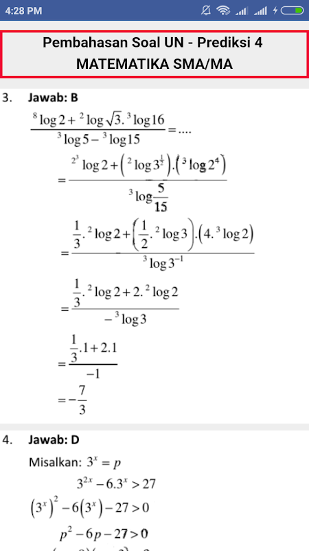
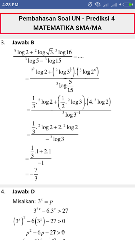
Aplikasi Bocoran Soal UN / UNBK Matematika SMA Terbaru 2020 adalah kumpulan Soal UN / UNBK Mata Pelajaran Matematika SMA yang sangat lengkap dan akurat dilengkapi oleh Kunci Jawaban dan Pembahasannya.
Pelajari Pembahasannya dan dapatkan kaedah Menjawab Soal yang ringkas, cepat dan pintar.
Aplikasi Bocoran Soal Matematika UN / UNBK SMA Terbaru 2020 ini mempunyai Prediksi, Kisi-Kisi, Bocoran yang akurat tentang Mata Pelajaran Matematika SMA.
Silahkan dicoba di Instal dan Pelajari Soal - Soal UNBK UNESCO Matematika SMA nya. Anda akan mendapat jenis-jenis soal UN / UNBK Mata Pelajaran Matematik yang sering keluar Ujian UN / UNBK.
Setelah diinstall, bantu kasih 5 Bintang ya ...
Terimakasih
What's new in the latest 6.0
Maklumat APK Bocoran Soal Matematika UN SMA
Versi lama Bocoran Soal Matematika UN SMA
Bocoran Soal Matematika UN SMA 6.0
Bocoran Soal Matematika UN SMA 5.0
Bocoran Soal Matematika UN SMA 4.0
Bocoran Soal Matematika UN SMA 3.0
Aplikasi Popular dalam 24 Jam Lepas
Muat Turun Super Pantas dan Selamat melalui Apl APKPure
Satu klik untuk memasang fail XAPK/APK pada Android!







