Acerca del Math Formulas
Fórmulas matemáticas para encontrar fácilmente su solución matemática
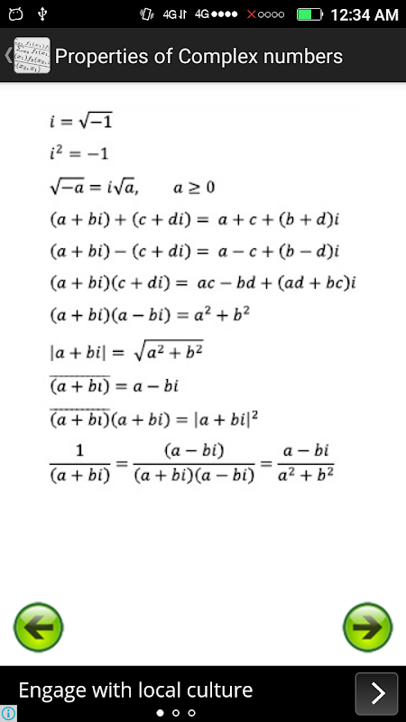
Fórmulas Matemáticas
Esta aplicación cuenta con la lista mismas fórmulas matemáticas, otros vendrán en otro comunicado.
incluyen: -
- Álgebra Fórmulas
- Fórmulas Trigonometría
- Volumen y de superficie Fórmulas de área
Novedades más recientes 1.1.0
Last updated on 06/03/2021
Minor bug fixes and improvements. Install or update to the newest version to check it out!
Información de Math Formulas APK
Última Versión
1.1.0
Categoría
EducaciónAndroid OS
Android 4.3+
Tamaño de archivo
2.7 MB
Desarrollador
HZ Mobile AppClasificación de contenido
Everyone
Descargas seguras y rápidas de APK en APKPure
APKPure utiliza verificación de firmas para garantizar descargas de Math Formulas APK libres de virus para ti.
Versiones Antiguas de Math Formulas
Math Formulas 1.1.0
Latest2.7 MB06/03/2021
1.9 MB29/04/2020
1.9 MB25/09/2018
3.0 MB11/01/2017
Descarga rápida y segura a través de APKPure App
¡Un clic para instalar archivos XAPK/APK en Android!



