O Math Formulas
Wzory matematyczne ułatwiające znalezienie rozwiązania matematycznego
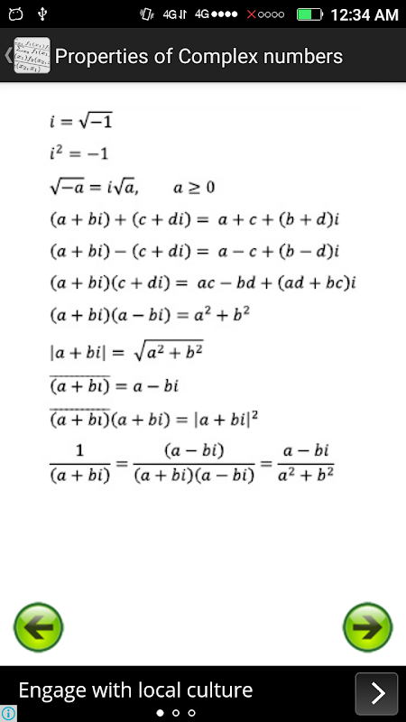
Wzory matematyczne
Ta aplikacja ma lista samych formuł matematycznych, inny przyjdzie w innym wydaniu.
należą: -
- Algebra Wzory
Właściwości nierówności <>
- Formuły Trygonometria
Funkcje>
- Objętości i powierzchni Formuły okolicy
What's new in the latest 1.1.0
Last updated on Mar 6, 2021
Minor bug fixes and improvements. Install or update to the newest version to check it out!
Informacje Math Formulas APK
Ostatnia wersja
1.1.0
Kategoria
EdukacjaAndroid OS
Android 4.3+
Rozmiar Pliku
2.7 MB
Deweloper
HZ Mobile AppOcena treści
Everyone
Bezpieczne i Szybkie Pobieranie APK na APKPure
APKPure używa weryfikacji podpisu, aby zapewnić bezpieczne pobieranie plików APK Math Formulas bez wirusów dla Ciebie
Stare wersje Math Formulas
Math Formulas 1.1.0
Latest2.7 MBMar 6, 2021
1.9 MBApr 29, 2020
1.9 MBSep 25, 2018
3.0 MBJan 11, 2017
Superszybkie i bezpieczne pobieranie za pośrednictwem aplikacji APKPure
Jedno kliknięcie, aby zainstalować pliki XAPK/APK na Androidzie!



