دربارهی Integration Calculator App
گام به گام ادغام را با یک ماشین حساب انتگرال حل کنید.
محاسبه گر یکپارچه یک برنامه راه حل یکپارچه سازی آسان است که به شما امکان می دهد هرگونه معادله انتگرال را در کوتاه ترین زمان گام به گام حل کنید. فقط معادلات ادغام را وارد کرده و با یک ماشین حساب انتگرال با راه حل ها نتایج دقیق را بدست آورید.
این ماشین حساب یکپارچه سازی بسیار مفید برای همه افرادی است که درس کامل را می خوانند یا تدریس می کنند. این برنامه ریاضی برای دانش آموزانی است که هنگام حل یکپارچگی با مشکل روبرو می شوند. ما این ماشین حساب یکپارچه با مراحل را ساخته ایم تا ساده ترین راه حل حل انتگرال ریاضی را در اختیار شما قرار دهیم. ما مطمئن هستیم که این برنامه حل یکپارچه گام به گام محاسبه کننده حساب مورد علاقه شما به عنوان برنامه حل یکپارچگی خواهد بود.
حل انتگرال با فرمول آسان است ، اما برای اکثر دانش آموزان محاسباتی دشوار است که پاسخهای دقیق معادله انتگرال را بدست آورند. به همین دلیل است که ما این ماشین حساب یکپارچه سازی را با گام هایی که فرمول انتگرال خودکار را ادامه می دهد ساخته ایم. این ماشین حساب محاسبه گام به شما راه حل های مفصل با نمودارها و گام به گام پاسخ انتگرال را به شما می دهد.
ادغام برای محاسبه مسائل معادله انتگرال برای حل نقطه مرکزی ، میدان ، توابع و طول انتگرال ضروری است. این ماشین حساب ریاضی یک راه حل یکپارچه گام به گام است. به این ترتیب ، شما می توانید هر یکپارچه از هر معادله را با مراحل درک کنید. اگر به دنبال ماشین حساب یکپارچه با راه حل هستید ، در مکان مناسب هستید زیرا یک ماشین حساب یکپارچه خوب و آسان برای استفاده گام به گام است.
ویژگی های ماشین حساب یکپارچه با برنامه حل کننده ادغام مراحل
این ماشین حساب ریاضی دارای مجموعه وسیعی از فرمول های انتگرال است که به صورت خودکار هر معادله ادغام را محاسبه می کند. فقط باید مقادیر را در ماشین حساب انتگرال به طور دقیق وارد کنید. در اینجا چند نکته مهم وجود دارد که آن را به یک ماشین حساب خوب و مناسب تبدیل می کند.
- انتگرال معین را حل کنید
- رابط کاربر پسند
- انتگرال نامعین را حل کنید
- ماشین حساب آسان حساب.
- گام به گام راه حل های جامع.
- ماشین حساب یکپارچه و حل کننده ادغام.
- نتایج راه حل یکپارچه سازی را با مراحل دریافت کنید.
- یکپارچه سازی را در کمترین زمان حل کنید.
- ماشین حساب برای همه دانش آموزان ریاضی.
- آسان برای استفاده از ماشین حساب یکپارچه با مراحل.
- شامل تمام توابع و فرمول های ادغام است.
- انتگرال را با راه حل های کامل حل کنید.
این حل کننده ماشین حساب یکپارچه آنلاین برای حل یکپارچه سازی خوب عمل می کند. این به شما این امکان را می دهد که به راحتی هر معادله انتگرال را با چند کلیک حل کنید. این برنامه گام به گام حل کننده ادغام هنگامی که از این ماشین حساب یکپارچه استفاده می کنید ، نتایج دقیقی را برای درک هر مرحله از integrat به شما می دهد.
نحوه استفاده گام به گام از ماشین حساب یکپارچه
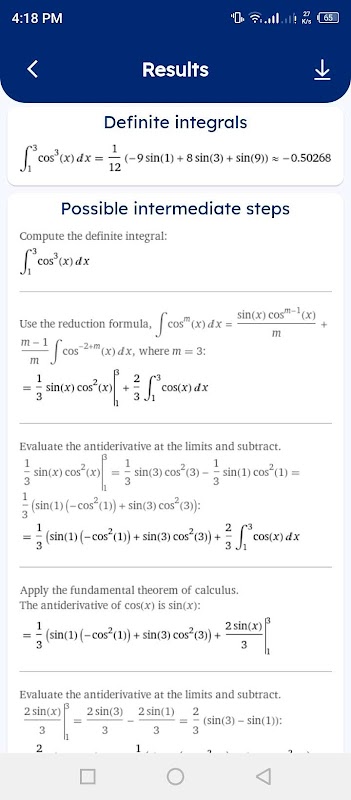
این ماشین حساب آنلاین یک برنامه هوشمند است که به خوبی به عنوان یک ماشین حساب یکپارچه و حل کننده ادغام گام به گام عمل می کند. تمام فرمول های انتگرال برای حل هر معادله ادغام وجود دارد. علاوه بر این ، این ماشین حساب ریاضی گام به گام راه حل مشکلات یکپارچه سازی را به شما می دهد. تنها چیزی که شما نیاز دارید این است که معادله صحیح را وارد کنید و روی دکمه محاسبه ضربه بزنید تا محاسبه خودکار انتگرال انجام شود و نتایج مفصلی در شکل یک نمودار با برنامه حل یکپارچه گام به گام به شما ارائه شود.
اگر می خواهید چند متغیر مشخص را با ماشین حساب انتگرال حل کنید ، به یاد داشته باشید که برای حل انتگرال های مشخص ، مرزهایی را در معادله اضافه کنید.
با حل یکپارچگی با این حل کننده ماشین حساب یکپارچه در وقت خود صرفه جویی کنید. هر معادله ای را که حل دستی دشوار است وارد کنید و با استفاده از این ماشین حساب انتگرال ، پاسخهای مفصل انتگرال را به صورت گام به گام دریافت کنید.
ماشین حساب های ادغام بیشتر
در این برنامه می توانید از بسیاری دیگر از ماشین حساب های مربوط به ادغام استفاده کنید.
- ماشین حساب دوپارچه دوگانه
- سه ماشین حساب یکپارچه
- ماشین حساب یکپارچه قطعی
- ماشین حساب یکپارچه نامحدود
- ماشین حساب روش پوسته
- ماشین حساب روش واشر
- ماشین حساب روش دیسک
- ماشین حساب تبدیل لاپلاس
- ماشین حساب تبدیل فوریه
جدیدترین 1.0.4 چه خبر است
اطلاعات Integration Calculator App APK
نسخههای قدیمی Integration Calculator App
Integration Calculator App 1.0.4
Integration Calculator App 1.0.2
دانلود فوق سریع و ایمن از طریق برنامه APKPure
برای نصب فایل های XAPK/APK در اندروید با یک کلیک!



