À propos de Math Formulae Lite (Free)
Une application doit avoir pour les étudiants et les apprenants
Math Formulae Lite is one unique and comprehensive app that is particularly designed as a one-stop solution for College Grade/Higher Grade Students. It lists out all the important formulas/topics in Algebra, Geometry, Trigonometry and Calculus. Regular review of these formulas/concepts will definitely help improve your grades.
The topics covered include:
ALGEBRA
Basic Properties and Facts
Factoring and Solving Formulas
Factoring and solving Methods (completing the squares methods etc...)
Functions and Graphs
Common Algebraic Errors
GEOMETRY
Points and Lines
Angles
Triangles
Quadrilaterals
Polygons
Circles
Coordinate Geometry
Measurement Formulas
TRIGONOMETRY
Definitions
Facts and Properties
Formulas and Identities
Unit Circle
Inverse Trigonometric Functions
Law of Sines, Cosines and Tangents
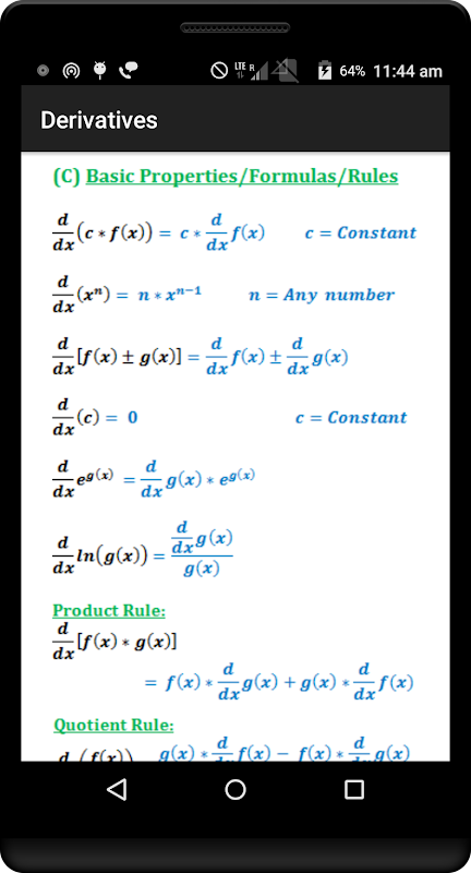
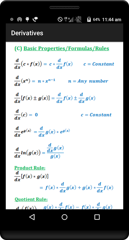
CALCULUS
Limits
Derivatives
Integrals
Laplace Transforms
What's new in the latest 2.1
Informations Math Formulae Lite (Free) APK
Vieilles versions de Math Formulae Lite (Free)
Math Formulae Lite (Free) 2.1
Math Formulae Lite (Free) 2.0
Math Formulae Lite (Free) 1.8.5
Téléchargement super rapide et sûr via l'application APKPure
Un clic pour installer les fichiers XAPK/APK sur Android!







