دربارهی Math Formulae Lite
A must have app for students and learners
Math Formulae Lite is one unique and comprehensive app that is particularly designed as a one-stop solution for College Grade/Higher Grade Students. It lists out all the important formulas/topics in Algebra, Geometry, Trigonometry and Calculus. Regular review of these formulas/concepts will definitely help improve your grades.
The topics covered include:
ALGEBRA
Basic Properties and Facts
Factoring and Solving Formulas
Factoring and solving Methods (completing the squares methods etc...)
Functions and Graphs
Common Algebraic Errors
GEOMETRY
Points and Lines
Angles
Triangles
Quadrilaterals
Polygons
Circles
Coordinate Geometry
Measurement Formulas
TRIGONOMETRY
Definitions
Facts and Properties
Formulas and Identities
Unit Circle
Inverse Trigonometric Functions
Law of Sines, Cosines and Tangents
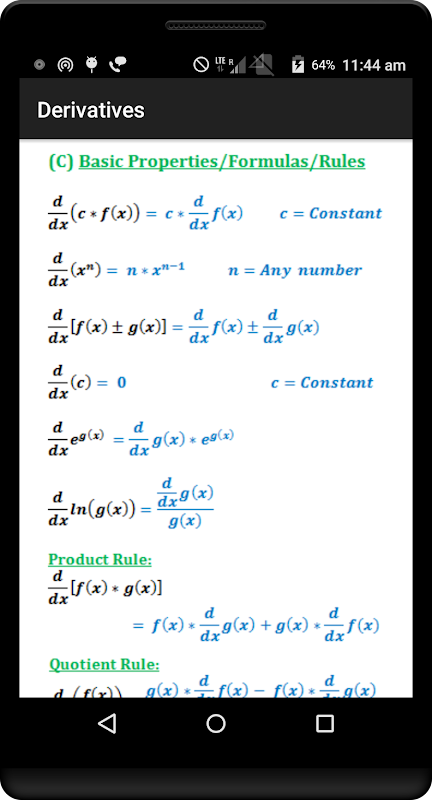
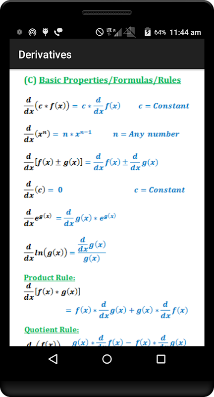
CALCULUS
Limits
Derivatives
Integrals
Laplace Transforms
جدیدترین 2.1 چه خبر است
اطلاعات Math Formulae Lite APK
نسخههای قدیمی Math Formulae Lite
Math Formulae Lite 2.1
Math Formulae Lite 2.0
Math Formulae Lite 1.8.5
جایگزین Math Formulae Lite
دانلود فوق سریع و ایمن از طریق برنامه APKPure
برای نصب فایل های XAPK/APK در اندروید با یک کلیک!







