Tentang Công thức Toán-So tay toan hoc
rumus matematika, matematika buku pegangan, penuh rumus matematika umum
Công thức toán học đưa ra các định nghĩa, định lý, công thức toán học phổ thông trong toàn bộ chương trình toán học, các công thức toán sẽ giúp bạn học và nhớ nhanh, khi cần tra cứu, tiện lơi, có ích trong quá trình học toán phổ thông, dữ liệu luôn được cập nhật thêm về mẹo toán học, các công thức toán phổ thông, các công thức toán đại học, toán cao cấp.
Hệ thống bao gồm các công thức:
1. Kí hiệu Toán học
2. Bảng cửu chương
3. Số học và công thức số học
4. Đại số, và công thức đại số
5. Lượng Giác, và công thức lượng giác
6. Hinh học, giải tích, các công thức về hình học, và công thức giải tích
7. Đạo hàm vi phân, công thức Đạo hàm, vi phân.
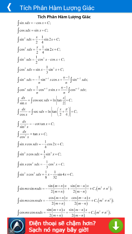
8. Tích phần không xác định, công thức tích phân.
9. Tích phân xác định
10. Hình học, và các công thức hình học.
11. Hàm số và các công thức hàm số.
12.v.v. tất cả các công thức toán từ phổ thông đến đại học.
Các ứng dụng được cập nhật liên tục dữ liệu. Người dùng cũng có thể chia sẻ bất cứ công thức với bạn bè bằng nhiều cách: email ="[email protected]", hoặc gửi tin nhắn bằng cách chat/sms qua facebook: https://www.facebook.com/hoctoanphothong , chúng tôi rất hân hạnh.
What's new in the latest 2.0
- Fixed openssl
Informasi APK Công thức Toán-So tay toan hoc
Versi lama Công thức Toán-So tay toan hoc
Công thức Toán-So tay toan hoc 2.0
Công thức Toán-So tay toan hoc 1.0

Pengunduhan Super cepat dan aman melalui aplikasi APKPure
Sekali klik untuk menginstal file XAPK/APK di Android!