About Công thức Toán-So tay toan hoc
Mathematical formulas, math handbook, full of mathematical formulas common
Công thức toán học đưa ra các định nghĩa, định lý, công thức toán học phổ thông trong toàn bộ chương trình toán học, các công thức toán sẽ giúp bạn học và nhớ nhanh, khi cần tra cứu, tiện lơi, có ích trong quá trình học toán phổ thông, dữ liệu luôn được cập nhật thêm về mẹo toán học, các công thức toán phổ thông, các công thức toán đại học, toán cao cấp.
Hệ thống bao gồm các công thức:
1. Kí hiệu Toán học
2. Bảng cửu chương
3. Số học và công thức số học
4. Đại số, và công thức đại số
5. Lượng Giác, và công thức lượng giác
6. Hinh học, giải tích, các công thức về hình học, và công thức giải tích
7. Đạo hàm vi phân, công thức Đạo hàm, vi phân.
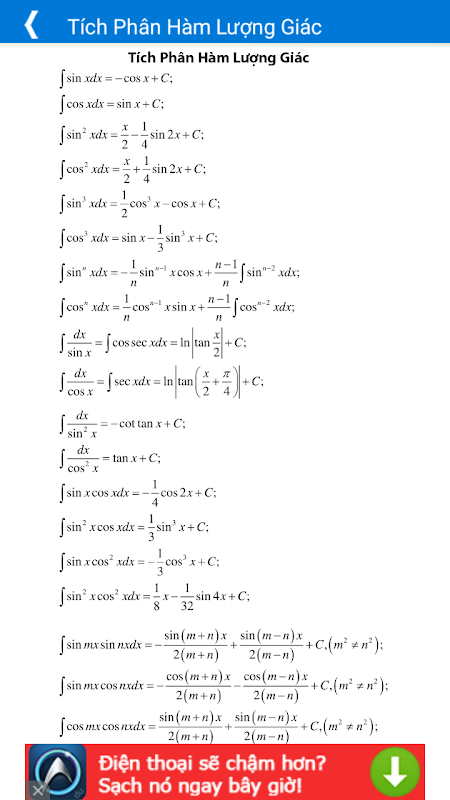
8. Tích phần không xác định, công thức tích phân.
9. Tích phân xác định
10. Hình học, và các công thức hình học.
11. Hàm số và các công thức hàm số.
12.v.v. tất cả các công thức toán từ phổ thông đến đại học.
Các ứng dụng được cập nhật liên tục dữ liệu. Người dùng cũng có thể chia sẻ bất cứ công thức với bạn bè bằng nhiều cách: email ="[email protected]", hoặc gửi tin nhắn bằng cách chat/sms qua facebook: https://www.facebook.com/hoctoanphothong , chúng tôi rất hân hạnh.
What's new in the latest 2.0
- Fixed openssl
Công thức Toán-So tay toan hoc APK Information
Old Versions of Công thức Toán-So tay toan hoc
Công thức Toán-So tay toan hoc 2.0
Công thức Toán-So tay toan hoc 1.0

Super Fast and Safe Downloading via APKPure App
One-click to install XAPK/APK files on Android!