Tentang Task Maker
Rancang lokakarya / tugas matematika Anda dalam beberapa menit
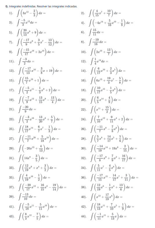
Esta aplicación trae temas de matemáticas para ayudarle a los docentes a diseñar sus tareas, talleres, actividades o evaluaciones en unos cuantos minutos.
El docente tan solo indica cuántos ejercicios desea de un tema en particular, coloca algún encabezado para la actividad y listo, oprime crear pdf y con esto ya puede imprimirlo o compartirlo.
Esta actividad es creada por el licenciado en Matemáticas Mario Bermúdez.
What's new in the latest 1.0.8
Last updated on 2022-03-26
Se realizarán algunos cambios en la plataforma por lo que no estará disponible por algunas semanas, espero disculpen las molestias.
Informasi APK Task Maker
Versi terbaru
1.0.8
Kategori
PendidikanAndroid OS
Android 4.4+
Ukuran file
25.6 MB
Pengembang
Mario BermúdezRating konten
Everyone
Unduh APK dengan Aman dan Cepat di APKPure
APKPure menggunakan verifikasi tanda tangan untuk memastikan unduhan APK Task Maker yang bebas dari virus untuk Anda.
Versi lama Task Maker
Task Maker 1.0.8
25.6 MBMar 26, 2022
Pengunduhan Super cepat dan aman melalui aplikasi APKPure
Sekali klik untuk menginstal file XAPK/APK di Android!






