เกี่ยวกับ Task Maker
ออกแบบเวิร์กช็อปคณิตศาสตร์ / งานของคุณในไม่กี่นาที
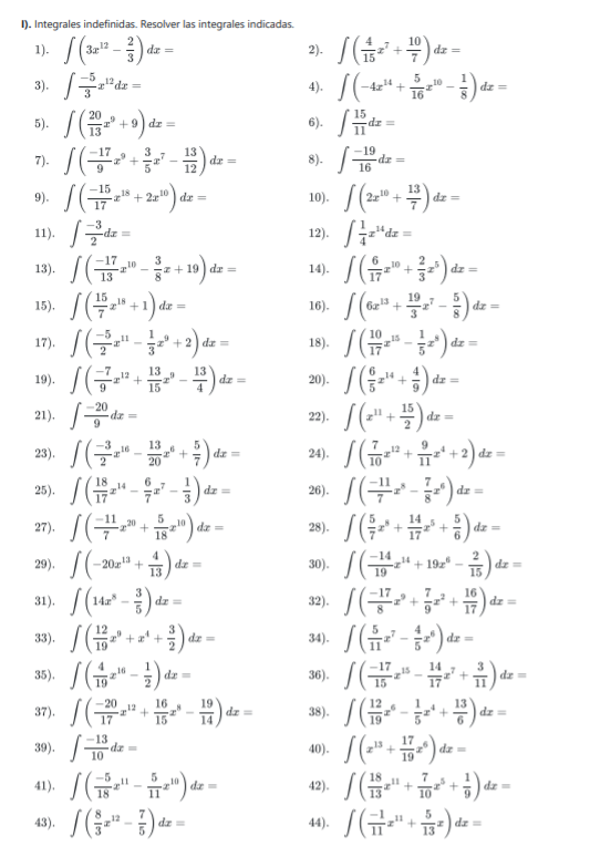
Esta aplicación trae temas de matemáticas para ayudarle a los docentes a diseñar sus tareas, talleres, actividades o evaluaciones en unos cuantos minutos.
El docente tan solo indica cuántos ejercicios desea de un tema en particular, coloca algún encabezado para la actividad y listo, oprime crear pdf y con esto ya puede imprimirlo o compartirlo.
Esta actividad es creada por el licenciado en Matemáticas Mario Bermúdez.
What's new in the latest 1.0.8
Last updated on 2022-03-26
Se realizarán algunos cambios en la plataforma por lo que no estará disponible por algunas semanas, espero disculpen las molestias.
ข้อมูล Task Maker APK
รุ่นล่าสุด
1.0.8
Category
การศึกษาAndroid OS
Android 4.4+
ขนาดไฟล์
25.6 MB
ผู้พัฒนา
Mario Bermúdezการจัดประเภทเนื้อหา
Everyone
ดาวน์โหลด APK ได้อย่างปลอดภัยและรวดเร็วบน APKPure
APKPure ใช้การตรวจสอบลายเซ็นเพื่อประกันการดาวน์โหลด APK ของ Task Maker ที่ปลอดไวรัสสำหรับคุณ
Task Maker รุ่นเก่า
Task Maker 1.0.8
25.6 MBMar 26, 2022
การดาวน์โหลดที่รวดเร็วและปลอดภัยเป็นพิเศษผ่านแอป APKPure
คลิกเพียงครั้งเดียวเพื่อติดตั้งไฟล์ XAPK/APK บน Android!






