Algebra Tutorial 6 के बारे में
कार्यों के लिए इंटरएक्टिव गणित ट्यूटोरियल
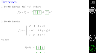
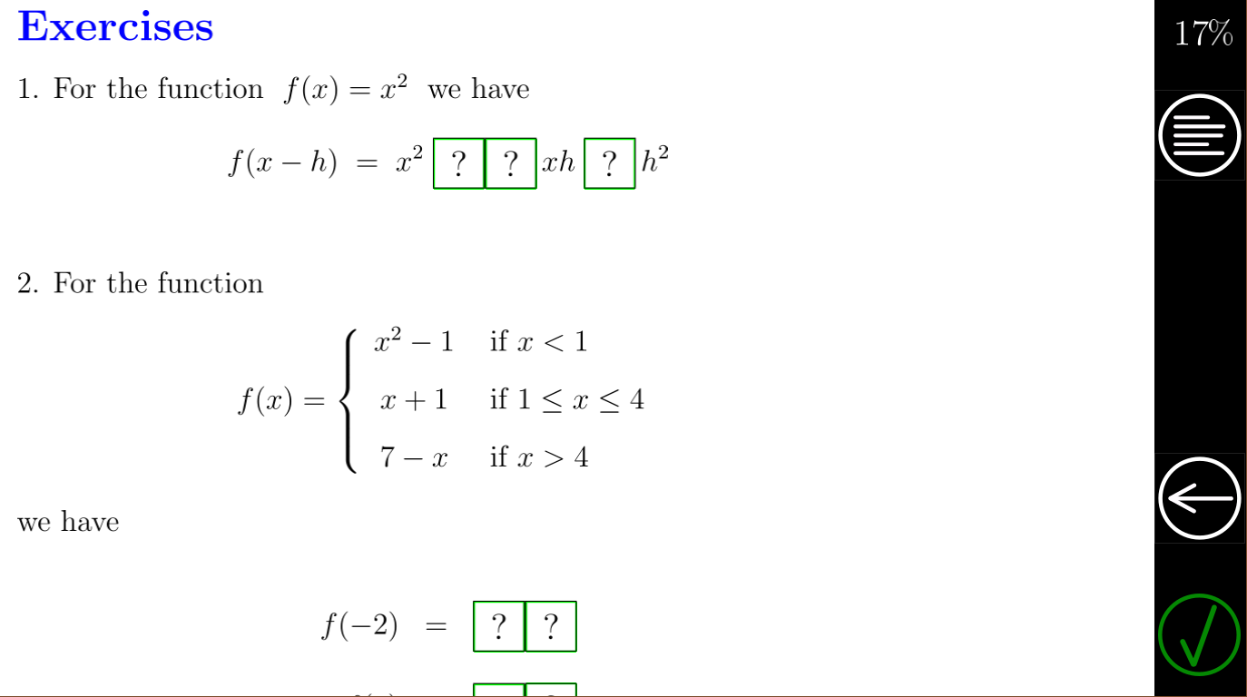
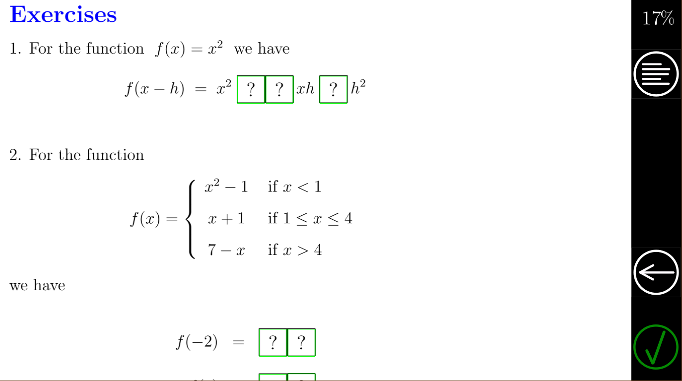
इस ट्यूटोरियल में, हम सबसे पहले एक नियम (या फॉर्मूला) द्वारा परिभाषित फंक्शन्स को देखते हैं। फिर हम एक डोमेन और कोडोमेन के साथ परिभाषित अधिक सामान्य कार्यों को देखते हैं, और हम फ़ंक्शन की सीमा को खोजने के लिए फ़ंक्शन के ग्राफ़ का उपयोग करते हैं।
अधिकांश बीजगणित पाठ्यक्रम (जैसे यह एक) एक कैलकुलस पाठ्यक्रम की तैयारी कर रहे हैं, और इसलिए हम एक फ़ंक्शन की विशिष्ट कैलकुलस परिभाषा को भी देखते हैं जहां फ़ंक्शन को केवल एक नियम द्वारा निर्दिष्ट किया जाता है। डोमेन तब सभी वास्तविक संख्याओं के समूह का सबसे बड़ा उपसमुच्चय होता है जो फ़ंक्शन के नियम के अनुकूल होता है, और कोडोमैन सभी वास्तविक संख्याओं का समूह होता है।
* हाई स्कूल के अपने अंतिम दो वर्षों में छात्रों के उद्देश्य से।
* उदाहरणों और अभ्यासों के माध्यम से काम करके गणित का अध्ययन करना सबसे अच्छा है। इस ट्यूटोरियल में कई इंटरैक्टिव उदाहरण और अभ्यास हैं जिन्हें 100% प्रगति प्राप्त करने के लिए पूरा किया जाना चाहिए।
* 20 साल के शिक्षण अनुभव के साथ गणित के शिक्षक द्वारा लिखित।
* पूरी तरह से मुक्त (कोई विज्ञापन नहीं)।
* इंटरनेट के बिना काम करता है ताकि आप ट्रेन, बस आदि में यात्रा करते समय बीजगणित सीख सकें। इंटरनेट केवल गोपनीयता नीति और अन्य ट्यूटोरियल के लिंक के लिए आवश्यक है।
* गेममेकर के साथ बनाया गया।
* केवल 13 एमबी डाउनलोड।
What's new in the latest 1.0.4
Algebra Tutorial 6 APK जानकारी
Algebra Tutorial 6 के पुराने संस्करण
Algebra Tutorial 6 1.0.4
Algebra Tutorial 6 1.0.2
Algebra Tutorial 6 1.0.1
APKPure ऐप के माध्यम से सुपर तेज़ और सुरक्षित डाउनलोडिंग
एंड्रॉइड पर XAPK/APK फ़ाइलें इंस्टॉल करने के लिए एक-क्लिक करें!







