Math Formulae Lite (Free) के बारे में
छात्रों और शिक्षार्थियों के लिए एक app है चाहिए
Math Formulae Lite is one unique and comprehensive app that is particularly designed as a one-stop solution for College Grade/Higher Grade Students. It lists out all the important formulas/topics in Algebra, Geometry, Trigonometry and Calculus. Regular review of these formulas/concepts will definitely help improve your grades.
The topics covered include:
ALGEBRA
Basic Properties and Facts
Factoring and Solving Formulas
Factoring and solving Methods (completing the squares methods etc...)
Functions and Graphs
Common Algebraic Errors
GEOMETRY
Points and Lines
Angles
Triangles
Quadrilaterals
Polygons
Circles
Coordinate Geometry
Measurement Formulas
TRIGONOMETRY
Definitions
Facts and Properties
Formulas and Identities
Unit Circle
Inverse Trigonometric Functions
Law of Sines, Cosines and Tangents
CALCULUS
Limits
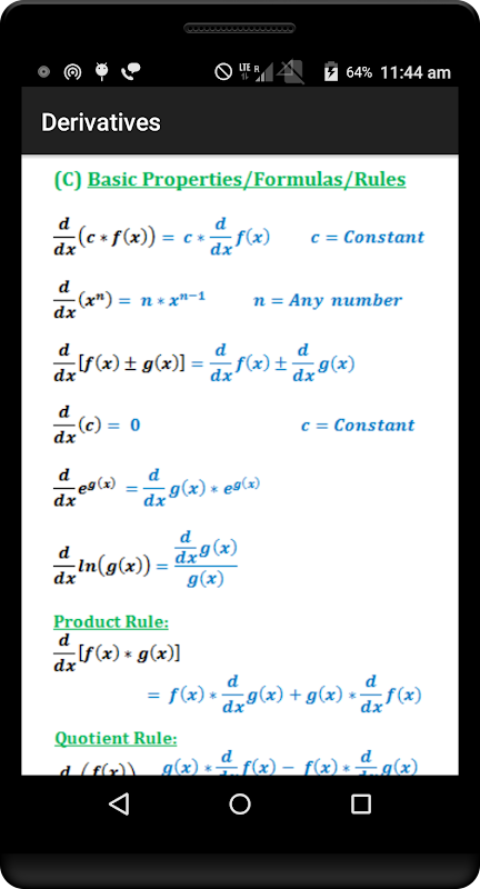
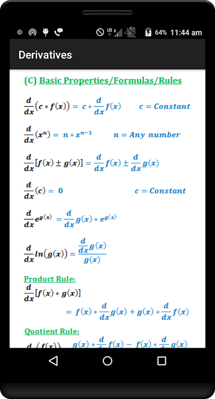
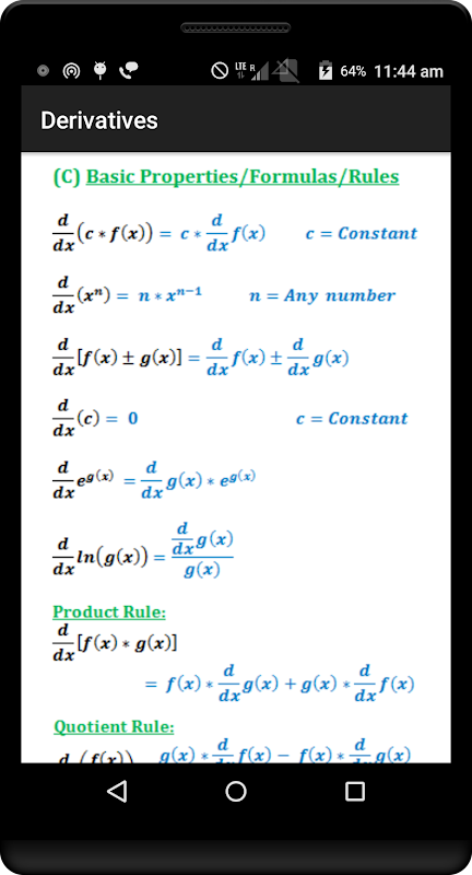
Derivatives
Integrals
Laplace Transforms
What's new in the latest 2.1
Math Formulae Lite (Free) APK जानकारी
Math Formulae Lite (Free) के पुराने संस्करण
Math Formulae Lite (Free) 2.1
Math Formulae Lite (Free) 2.0
Math Formulae Lite (Free) 1.8.5
APKPure ऐप के माध्यम से सुपर तेज़ और सुरक्षित डाउनलोडिंग
एंड्रॉइड पर XAPK/APK फ़ाइलें इंस्टॉल करने के लिए एक-क्लिक करें!







