Maths Formulas के बारे में
मैट्रिक, 11 वीं और 12 वीं कक्षा की गणित परीक्षा (कराची बोर्ड 2021 के लिए) तैयार करें
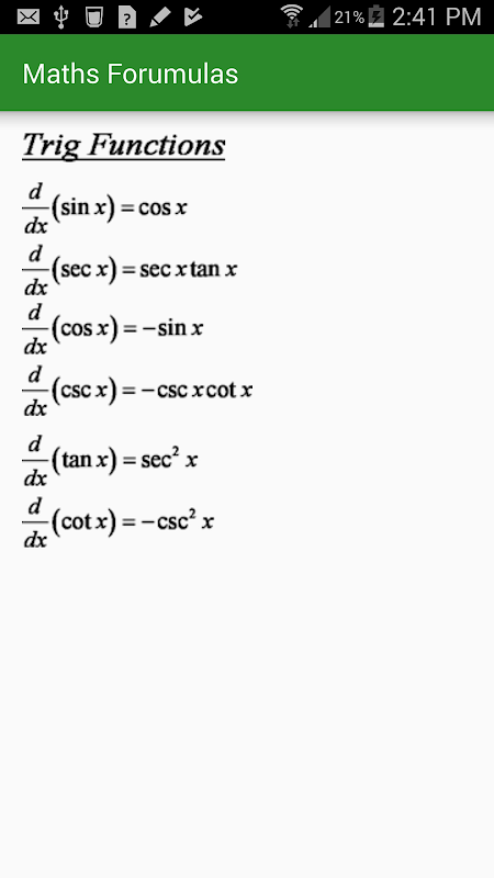
Maths Formulas is a simple application that helps you access a important collection of math formulas & mathematical equations.This app can help you as a quick reference (cheat sheet) so you can access maths formulas whenever and wherever you want. Maths Formulas includes forumlas of:
1.Pythagoras theorem.
2. Quadratic Equation
3. Calculus
4. Integration.
5. Trigonometry
6. Parabola , Hyperbola and many many more :D
In short , this app is one stop to learn all formulas on the go.
Ideal for work from home. students.
Includes all formulas for class 10th, class 11th , class 12th
This app will act as a great tool for students who are preparing for karachi board of intermediate exam papers and want to have class 10 maths notes sindh board
, class 11 maths notes or second year Class 12th notes.
What's new in the latest 1.2
Maths Formulas APK जानकारी
APKPure ऐप के माध्यम से सुपर तेज़ और सुरक्षित डाउनलोडिंग
एंड्रॉइड पर XAPK/APK फ़ाइलें इंस्टॉल करने के लिए एक-क्लिक करें!





