Maths Formulas 정보
Matric, 11 및 12 학기 수학 시험 준비 (카라치 보드 2021 용)
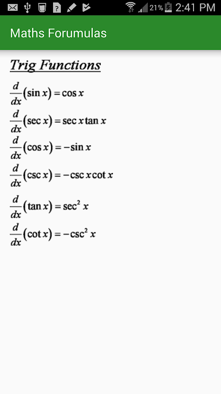
Maths Formulas is a simple application that helps you access a important collection of math formulas & mathematical equations.This app can help you as a quick reference (cheat sheet) so you can access maths formulas whenever and wherever you want. Maths Formulas includes forumlas of:
1.Pythagoras theorem.
2. Quadratic Equation
3. Calculus
4. Integration.
5. Trigonometry
6. Parabola , Hyperbola and many many more :D
In short , this app is one stop to learn all formulas on the go.
Ideal for work from home. students.
Includes all formulas for class 10th, class 11th , class 12th
This app will act as a great tool for students who are preparing for karachi board of intermediate exam papers and want to have class 10 maths notes sindh board
, class 11 maths notes or second year Class 12th notes.





