この외워지는 수학 공식 - 차길영의 고등 수학 공식집について
セブンエドゥチャギルヨウン先生の高等数学中心的な概念総整理アプリです。 ★最新の改訂高校教育課程に合わせた*無料*数式集!★
セブンエドゥチャギルヨウン先生の高等数学中心的な概念総整理アプリです。
★最新の改訂高校教育課程に合わせた*無料*数式集!★
いつでもどこでもすぐにすぐに確認することができます私の手数式!
"公式を知らない数学が難しいですか?、公式が多すぎて暗記するのが難しい?」
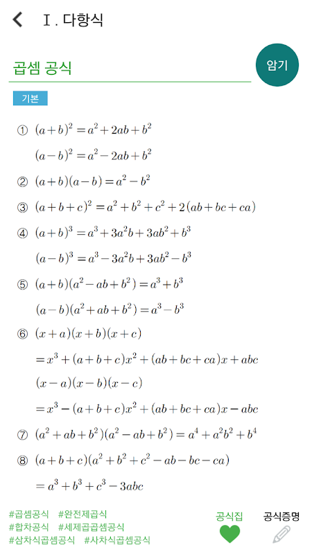
高校の数学のすべての公式を一目で!
いつでもどこでもすぐにすぐに確認することができます私の手数式!
1.内容
- 改正教育課程を反映した内容構成
- 公式証明コースの内容を示すことによって、内容の理解を高め、
以後問題解決能力を向上させることができます。
- 学習した内容をすぐに確認できるように穴埋めを提供して
最終的に学習内容の暗記を確認することができます。
2.機能
- キーワード検索機能で必要な学習内容を迅速かつ容易に見つけることができます。
- シンプルなタッチスクリーンで学習した内容を確認することができ、
いつでもどこでも簡単に内容を学習することができます。
- 私の公式ホームメニューを利用して、自分だけの公式家管理することができます。
最新バージョン 1.3.0 の更新情報
Last updated on 2021-01-14
v.1.3.0 - 21.01.11
- 안드로이드 sdk 29 대응
- 기타 버그 수정
- 안드로이드 sdk 29 대응
- 기타 버그 수정
외워지는 수학 공식 - 차길영의 고등 수학 공식집 APK 情報
APKPure で安全で高速な APK のダウンロード
APKPure は署名検証を使用して、ウイルスフリーの 외워지는 수학 공식 - 차길영의 고등 수학 공식집 APK ダウンロードを保証します。
외워지는 수학 공식 - 차길영의 고등 수학 공식집の旧バージョン
외워지는 수학 공식 - 차길영의 고등 수학 공식집 1.3.0
54.6 MB2021年01月14日
외워지는 수학 공식 - 차길영의 고등 수학 공식집 1.2.8
57.0 MB2019年11月27日
외워지는 수학 공식 - 차길영의 고등 수학 공식집 1.2.7
57.0 MB2019年06月28日
외워지는 수학 공식 - 차길영의 고등 수학 공식집 1.2.6
47.6 MB2019年06月06日







