Oписание 외워지는 수학 공식 - 차길영의 고등 수학 공식집
Семь Edu Chae Gil Young применение математической концепции средней школы. ★ бесплатно * математическая формула для последней редакции школьной программы! ★
Семь Edu Chae Gil Young применение математической концепции средней школы.
★ бесплатно * математическая формула для последней редакции школьной программы! ★
Математическая формула в моей руке, где вы можете проверить это в любое время, в любом месте!
«Я не знаю формулу, поэтому математика сложна, слишком формальна, чтобы ее запомнить»
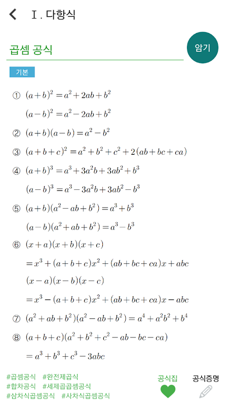
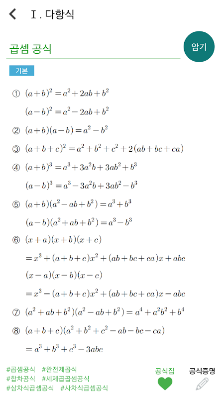
С первого взгляда все формулы математики средней школы!
Математическая формула в моей руке, где вы можете проверить это в любое время, в любом месте!
1. Содержание
- Состав содержания, отражающий пересмотренную учебную программу
- Официальное подтверждение содержания курса, показывая содержание, чтобы улучшить понимание
Затем вы можете улучшить свои навыки решения проблем.
- Предоставление пробела для немедленного обучения
Наконец, вы можете проверить запоминание содержания обучения.
2. Функции
- Функция поиска по ключевым словам позволяет легко найти то, что вам нужно.
- Вы можете проверить, что вы узнали с помощью простого сенсорного экрана.
Легко учиться где угодно и когда угодно.
- Вы можете управлять своим официальным домом, используя мое официальное меню дома.
Что нового в последней версии 1.3.0
- 안드로이드 sdk 29 대응
- 기타 버그 수정
Информация 외워지는 수학 공식 - 차길영의 고등 수학 공식집 APK
Старые Версии 외워지는 수학 공식 - 차길영의 고등 수학 공식집
외워지는 수학 공식 - 차길영의 고등 수학 공식집 1.3.0
외워지는 수학 공식 - 차길영의 고등 수학 공식집 1.2.8
외워지는 수학 공식 - 차길영의 고등 수학 공식집 1.2.7
외워지는 수학 공식 - 차길영의 고등 수학 공식집 1.2.6
Супер Быстрая и Безопасная Загрузка через Приложение APKPure
Один клик для установки XAPK/APK файлов на Android!







