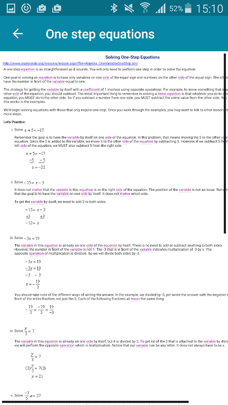
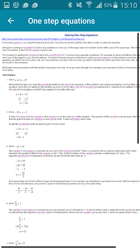
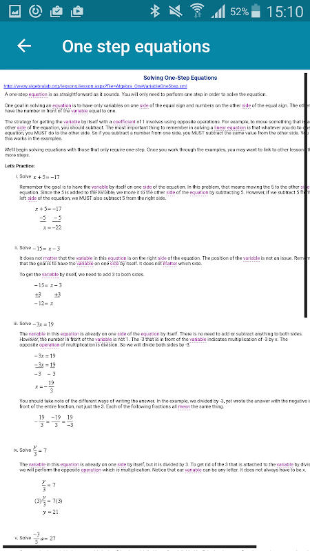
このMartin County SD ClassLinkについて
マーティン郡では、すべてのデバイス上で、学校へのアクセスを提供するパーソナライズされた雲です
Martin County SD ClassLink is your personalized cloud desktop providing access to school from anywhere on any device. Martin County SD ClassLink is ideal for empowering students and staff to maximize academic effort by facilitating access to academic tools using your personal virtual instructional desktop.
With more and different devices showing up in the classrooms today, users expecting 24/7 access, and schools needing to lower costs, a different approach is needed and quick.
Martin County SD ClassLink gives you real time access to your cloud folders, any mapped Active Directory shares and Apps if your school or organization has Martin County SD ClassLink.
Seamlessly access all your files:
Dropbox
Google Drive
SkyDrive
School Network
Martin County SD ClassLink Cloud Drive
Now with printing support! Print your documents to any Air Print connected printer.
PLEASE NOTE: Your school or organization must have Martin County SD ClassLink WEB EDITION for this app to work.







