Commerce Maths Part 1 Solution 12th HSC Board
39.7 MB
파일 크기
Everyone
Android 4.2+
Android OS
Commerce Maths Part 1 Solution 12th HSC Board 정보
상업 마하라 쉬트 라 HSC 보드를 들어 수학 및 통계 1 개 부 솔루션
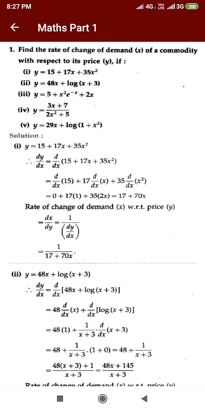
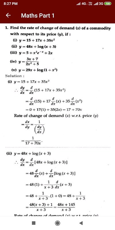
This Android App Commerce Maths Part 1 Solution For 12th HSC Board Brings you the Maharashtra Hsc Board Mathematics Part 1 Solution For Commerce Class 12th Syjc free which saves your for money for buying digests and help you in studies for better understanding of maths subject (Standard Twelfth) with Old and Sample papers for practice with solutions for free with important points and formulas. Chapterwise and Exercisewise solutions of Commerce Mathematics and Statistics Part 1 Textbook for Class 12th (MAHARASHTRA HSC Board). This App also Contains Old and Sample Maharashtra Hsc board question papes with solutions for free. It Contains all exercises with Miscellaneous Exercises.
This App Contains following chapters of Mathematics and Statistics Part 1 for Standard 12th.
* 1. Mathematical Logic
* 2. Matrices
* 3. Continuity
* 4. Differentiation
* 5. Applications of Derivatives
* 6. Integration
* 7. Definite Integrals
* 8. Sample Board model Question Papers for practice.
Download this and share with your friends for their benefit as well, Enjoy and the All the best for Exams. if you have any suggestion please write us on our email.
Thank you so much.
What's new in the latest 3.0
* Maharashtra HSC Board
* Commerce
* Mathematics And Statistics Part 1 Solution
* Best For Board Exams And Daily Studies



