Exam P Quick Notes Pro 정보
SOA 시험 P.에 필요한 확률 분포에 편리한 참조
To pass the first actuary exam, SOA exam P, you need to be an expert in 9 probability distributions.
Compiled here is the most vital information on each of those distributions, Keep this app on your telephone screen while working practice problems to simplify the process of finding the formulas for the expected value, variance, and where applicable pdf, pmf, cdf and moment generating function. Each distribution has a short description of it's use.
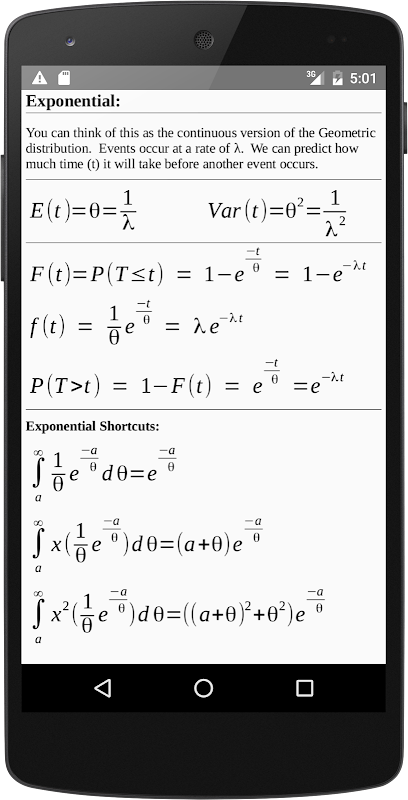
Contains shortcuts for exponential and gamma distributions.
The Pro version of this app is presented ad-free and may be more suitable for a professional or classroom environment.
Distributions covered:
* Bernoulli
* Geometric
* Hypergeometric
* Exponential
* Poisson
* Binomial
* Negative Binomial
* Uniform
* Gamma
Feel free to email me with any questions or comments on this app, or additional material that you would like to see covered.







